BTC/HKD-0.64%
ETH/HKD-1.16%
LTC/HKD-0.54%
ADA/HKD-1.35%
SOL/HKD-1.99%
XRP/HKD-1.09%Solana生態項目逐步增加,借貸、DEX以及衍生品等協議開始豐富起來。Mercurial也是Solana生態上的項目之一。它提供穩定資產兌換服務,這聽上去跟目前以太坊生態中的Curve似乎差別不大。不過,作為后來者,它有更多的機會去學習之前DeFi協議的一些優點。這可以從它的設計中看出來,它在用戶最為關注的交易滑點、LP收益、資產利用率等方面都做了一定的迭代優化。
Mercurial從穩定幣AMM資金池開始切入,為Solana生態提供USDC、USDT、wUSDC、wUSDT等穩定幣的兌換服務,隨著對用戶需求的把握和生態的發展,Solana也計劃為更多穩定資產提供流動性服務。
那么,Mercurial有哪些迭代值得關注?我們先從其整體框架入手。
理解Mercurial的框架
我們可以看看Mercurial的框架圖:

(Mercurial的核心部分,來自Mercurial)
可以看到核心有幾個:Vault(資金庫)、Yield(種地或挖礦)、動態費用、DAO治理。
Solana EVM兼容方案Neon已上線Solana主網:7月18日消息,Solana EVM兼容方案Neon已上線Solana主網,完成以太坊開發人員將項目過渡到Solana所需的必要工具,允許開發人員在Solana之上編寫以太坊應用程序。[2023/7/18 11:00:59]
Mercurial有動態的做市資金庫。它的資金庫為穩定資產兌換提供自動做市,LP可以將其穩定資產存入到Mercurial的資金庫中,然后為穩定資產兌換提供流動性,同時通過種地或挖礦等獲得外部協議的收益,如參與借貸、閃電貸以及收益聚合等。此外,LP的費用收益也不是固定的,而是動態變化的,這也是它與眾不同的一個設計。
具體分解來看,有幾個方面是理解Mercurial的關鍵:
Mercurial在降低滑點上的設計
我們知道,目前AMM上進行較大額度的兌換,往往會帶來較高的滑點。即便是穩定資產的兌換也會如此。
Mercurial跟通常的X*Y=Z的AMM做市模式不同,它的主要不同如下圖:

Soldman Gachs:目前債權人對三箭資本的索賠總額為28億美元并預計會上升:7月19日消息,自稱為三箭資本債權人之一的Soldman Gachs在推特上透露,會議投票決定不尋求新的清算人,因此Teneo將繼續擔任清算人。由Digital Currency Group、Voyager Digital、Blockchain Access UK Ltd、Matrix Port Technologies和CoinList Lend組成的債權人委員會代表了當前索賠資金的近 80%。
Soldman Gachs還表示,Su Zhu索賠500萬美元,ThreeAC Limited索賠2500萬美元,Chen Kaili Kelly(Kyle Davies的妻子)索賠6600萬美元。這些債權可能被視為準股權并從屬于債權人,或導致它們無法得到這些資金。目前索賠總額為28億美元。許多人還沒有提出任何索賠,或出于保密原因量化了索賠的金額。預計這一數字將大幅上升。
此前消息,法庭文件顯示三箭資本欠27家加密公司共35億美元,Genesis對三箭資本提出約12億美元的索賠。[2022/7/19 2:22:58]
(Mercurial的做市滑點變化,來自Mercurial)
Trisolaris獲得450萬美元融資 Electric Capital領投:金色財經報道,基于Near協議的去中心化交易所Trisolaris宣布了一項由Electric Capital牽頭的戰略投資,投資總額為450萬美元。參與方包括JumpCrypto、DragonflyCapital、Leminscap和EtherealVentures等。Trisolaris將利用這筆資金擴大其團隊,繼續投資于關鍵產品領域。還計劃改進原生TRI代幣背后的代幣經濟學,并將該代幣整合到更多Near生態系統項目中。
上周,Trisolaris推出了一款新的stableswap產品,允許用戶通過一個界面在多個自動做市商(AMM)之間交換資金。(coindesk)[2022/4/5 14:04:12]
紅線是傳統AMM做市模式下的滑點變化,藍線是Mercurial的做市模式下的滑點變化。這看上去滑點很低。它是怎么設計的?
主要有兩個方面,一是在提供流動性代幣對資產時,Mercurial并沒有要求提供流動性的代幣對一定為1:1配置,可以靈活配置。二是,Mercurial利用了放大化的價格曲線,將流動性集中到所需范圍內。如果用戶的交易超出交易率范圍,會獲得較少流動性的支持。
Solana鏈上DEX Orca宣布在Aquafarms添加mSOL/USDC、LIQ/USDC、STEP/SOL池:Solana鏈上DEX Orca Aquafarms上線兩周,宣布在Aquafarms添加mSOL/USDC、LIQ/USDC、STEP/SOL池,并將總共發放300,000個ORCA獎勵。[2021/8/27 22:40:54]
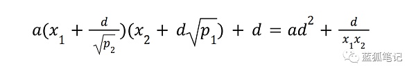
可以通過Mercurial提出的兩個公式來簡單說明:
有兩個代幣組成代幣對提供流動性,假設代幣為X1,X2;其兌換率波動范圍為p1,p2,在常數乘積做市模式下,其公式表達為:

(來自Mercurial)
Mercurial在這個基礎上,增加了一些放大系數a,那么得出如下的公式:

在這個公式中,系數a如果是無限大,那么,其所有的流動性都集中在價格范圍p1-p2;如果系數a無限接近于0,那么這個公式就相當于常數乘積的做市模式。
BiKi ETF專區MATIC3L/USDT今日最高漲幅61.35%,SOL3L/3S已上線:據BiKi平臺ETF專區行情顯示,截至今日14:50,ETF3L專區MATIC3L/USDT今日最高漲幅61.35%,現凈值9.8453; THETA3L/USDT今日最高漲幅43.67%,現凈值47.1079; AAVE3L/USDT今日最高漲幅36.68%,現凈值2.0996。
ETF 5L/5S和ETF3L/3S是一種錨定標的5倍做多、5倍做空和3倍做多、3倍做空某種數字資產的指數基金,目前已上線主流幣、NFT、Defi、波卡系、存儲系、匿名幣等熱門幣種,相比合約有操作簡單、永不爆倉、無保證金、單邊行情收益更高等特點。[2021/4/26 20:59:35]
通過上述的設計,Mercurial試圖降低用戶兌換的滑點。這些的設計思路,我們在balancer和dodo上也看到過類似的思考,不過Mercurial目前主要聚焦于穩定資產的兌換為主。
Mercurial在增加LP收益上的設計
在傳統的AMM中,LP的費用收益一般來說是固定的。比如Curve一般是0.04%;在Uniswap V2一般默認是0.3%;在Uniswap V3則做了可供選的費用:0.05%、0.3%以及1%。
跟這些相對固定的費用設計不同,Mercurial采用動態費用設計。在Mercurial中,所有的代幣對資金庫共享相同的動態費用機制。
采用動態費用機制的動機在于為LP提供更合理的收益,當兌換需求增加,其兌換手續費也會隨之增加。尤其是當市場波動性大時,通過更高的手續費,可以減少LP的無常損失,并獲得更高收益。如果市場波動小,用戶兌換需求較小,手續費也會下降,從而激勵用戶進行交易。
Mercurial在確定其費用時,會使用長時間窗口和短時間窗口的交易量衡量,并采用EMA(Exponential Moving Average指數移動均線)計算,其費用基于交易量比率更新。下圖表示基于市場波動性變化的費用更新。

Mercurial在提升資產收益方面的設計
除了在降低滑點和為LP代提供動態費用收益方面的設計之外,Mercurial還有一個不同的設計是,它會從資金庫的資產中進行動態分配管理,將其配置到外部協議。而其分配算法是通過鏈上的算法管理。除了資產的配置之外,Mercurial的資產管理還包括利息和收益收集,退出特定平臺以及清算所得收益等。

(Mercurial資金庫的部分資金用于種地耕作,來自Mercurial)
這些收益計劃只有得到DAO的批準之后,才能部署到外部的平臺。DAO來決定每個資金庫可以部署到外部協議的比例。外部收益平臺包括閃電貸、借貸平臺、帶杠杠的穩定幣借貸或其他收益資金庫等。平臺會根據收益、風險以及流動性情況進行選擇。通過收益計劃,做市商的資產利用率得到提升。
MER代幣機制
Mercurial的代幣是MER。MER代幣有機會捕獲如下價值:
兌換的手續費用
MER代幣持有人有機會獲得Mercurail平臺上交易手續費。MER具體如何捕獲交易費用,是回購并銷毀MER,還是分配MER,則會通過DAO治理來決定。
種地收益傭金
MER持有人有機會獲得“種地”或“挖礦”收益的傭金。根據DAO治理,可以通過購買并銷毀MER代幣的形式,也可以通過質押MER代幣獲得相應分配的形式。
合成資產的抵押品
在生成合成資產或其他穩定資產時,MER會被用作為主要的質押代幣。如果合成資產的需求增加,那么會產生對更多MER代幣的需求。這一點類似于Synthetix的SNX代幣的質押功能。
治理價值
在Mercurial的DAO治理中,其主要工具是MER代幣。通過它可以參與DAO的治理。而DAO治理可以決定協議的一些重要參數和決議。比如確定交易以及資金庫收益的基礎費用和傭金;費用是否用于銷毀或分配;可以將資金庫資產部署到哪些協議;資金庫用于種地或挖礦的比例;應該推出哪種新合成資產;LP和質押者獎勵機制;為保險池注入多少資金,以應對資產脫錨的風險等。
這意味著MER本身也有治理價值,如果Mercurial有機會成長起來,那么其治理的重要性會顯現出來。
此外,Mercurial的流動性提供者存入資產可以獲得LP代幣。LP代幣:
1)可以質押用于MER代幣的流動性挖礦;
2)可以在Mercurial資金庫中進行再投資;
3)可在其他借貸平臺用于抵押品;
4)可用于合成資產的生成。
Mercurial的冷啟動計劃
為實現冷啟動,Mercurial試圖從如下幾個方面入手:
用戶界面上,盡可能符合CEX和EVM(以太坊用戶)用戶體驗的設計,以此減少使用摩擦;
鼓勵Kyber社區的參與,Kyber有超過10萬代幣用戶,通過Kyber社區,Mercurail試圖完成初步用戶的積累。
Mercurial的切入點
從上述來看,Mercurial本身更像是一個穩定資產管理協議。它通過其穩定資金庫的構建,為交易者提供穩定資產兌換服務,為流動性提供者提供做市收益、種地或挖礦等資產管理收益。從這個角度,其核心在于對穩定資產的管理。
因此,Mercurial能否取得成功,主要取決于其對穩定資產管理能否成功。而穩定資產管理能否成功主要取決于其穩定資產兌換、穩定資產種地/流動性挖礦收益等。
從這個角度,Mercurial的第一個切入點是對DEX協議的升級迭代,它聚焦于為穩定資產交易者提供更低的滑點,由此吸引交易用戶。而更大規模的交易用戶,會吸引更多的流動性提供者。流動性提供者是Mercurial資金庫的注入者,它們希望有更高的收益,這個收益可以來自于流動性提供,也可以來自于種地或挖礦等。
此外,除了協議本身機制的設計,Mercurial還有一個切入點是,它不是從以太坊生態切入,也不是從波卡、BSC或HECO等鏈切入,而是從Solana切入。這意味著,它早期會主要服務于Solana生態用戶,其早期能否成功也跟Solana生態整體發展息息相關。
Tags:MERCURMERCRIAUnited Farmers FinanceKoala CurrencyMercorVARIANTS價格
本文由印比特原創,授權金色財經首發。首發 | 嘉楠耘智宣布與Northern Data在AI、區塊鏈等高性能計算領域達成戰略合作:據官方消息,2020年2月17日,嘉楠耘智宣布與區塊鏈解決方案及.
1900/1/1 0:00:00DeFi數據 1.DeFi總市值:1368.83億美元 市值前十幣種排名數據來源DeFiboxDeFi總市值數據來源:Coingecko2.過去24小時去中心化交易所的交易量:80.
1900/1/1 0:00:00最近三個中國互聯網金融協會、中國銀行業協會以及中國支付清算協會關于防范虛擬貨幣交易炒作風險的公告協以及總理劉鶴主持召開國務院金融穩定發展委員會第五十一次會議:打擊比特幣挖礦和交易行為.
1900/1/1 0:00:00由于涉嫌對原生代幣XVS進行價格操縱,Venus協議在本周三面臨超過2億美元的大規模清算。對于不太了解Venus協議的人來說,我們首先做一個簡單的解釋.
1900/1/1 0:00:00根據媒體報道,方舟投資管理公司(ARK INVEST)最近已購買2000萬美元的比特幣,另外,該公司旗下的基金上周持續購買Coinbase股票(COIN),截至目前累計共持有7.06億美元.
1900/1/1 0:00:00注:原文作者是ConsenSys研究員、以太坊2.0開發者BenEdgington,他預計以太坊1.0和2.0合并階段將在2021年底或2022年初完成.
1900/1/1 0:00:00