BTC/HKD-3.72%
ETH/HKD-1.77%
LTC/HKD+0.34%
ADA/HKD-1.29%
SOL/HKD-2.05%
XRP/HKD-6.63%從定價模型、滑點、無常損失、交易費等角度比較分析 Uniswap V3、Curve V2 和 Balancer V2。
自動做市商機制(AMM),以其常數級別的時間空間占用的優勢,被許多去中心化交易所(DEX)采用,迄今為止已有許多此類項目大獲成功。說到其中佼佼者,必須要提到 Uniswap、Balancer 和 Curve,它們都在近期推出了新的版本, 以針對流動性提供者所關注的各種問題和風險。 本文將會從多個方面對這三個協議的最新版本做出比較。
參與到自動做市商機制中的人群,包括兩種不同的角色:流動性提供者(LP)和交易者。流動性提供者向機槍池存入資金,而交易者用一種貨幣從池中換取另一種代幣。AMM 協議需要解決的第一個問題就是如何定價,以一個二幣池為例,即如何用代幣 2(t2) 的數量表示代幣 1(t1) 的價格。
假設池中兩種貨幣的數量分別為 R1 和 R2,在一筆交易中一個交易者想用Δ2 數量的 t2 來買Δ1 數量的 t1。我們可以用一個交易函數ψ來描述一個 AMM 協議,其必須滿足在交易前后函數值不變,不變式表示為:

根據這個等式,我們就可以由Δ1 推出Δ2 (或反之)。而這筆交易同時也會影響價格,因為池中的代幣總量在交易之后改變了。實際上,因為機槍池的交易價格和外部參考市場的價格有差距,所以套利者會不斷交易知道價差回歸,AMM 正是利用這種機制來矯正池內的交易價格。每次交易的平均價格定義為:

當 dΔ1->0 時,我們可以計算得到邊際價格。 三種協議的邊際價格總結如下表

Table 1 邊際價格
Valkyrie現貨比特幣ETF申請已獲SEC確認,選擇的交易代碼為“BRRR”:7月18日消息,據彭博交易所交易基金高級分析師Eric Balchunas在社交媒體披露,Valkyrie提交的現貨比特幣ETF已獲得美國證券交易委員會確認,Valkyrie也成為了美國證券交易委員會本批次備案最后確認的一個現貨比特幣ETF申請方。此外根據披露的申請資料信息顯示,Valkyrie比特幣ETF選擇的納斯達克交易代碼為“BRRR”。?[2023/7/18 11:01:52]
Uniswap V3
Uniswap 的交易函數定義如下:

由此可得不變式為:

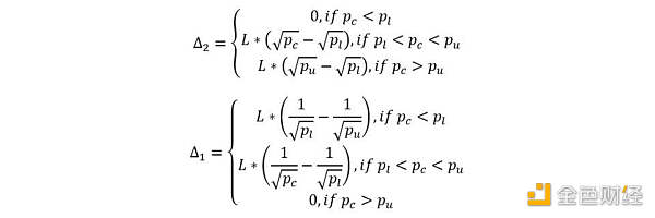
推導出Δ2 的表達式為:

邊際價格為:

當 Δ1->0 時,

在新版本 V3 中,由于在不同價格區間的流動性密度不同,需要對每個同一流動性密度的小區間單獨計算。當跨過區間邊界時,需要的下一個區間做類似計算。
Balancer V2
Balancer 的交易函數定義如下:


DeFi工具開發公司AUROX發起符合SEC標準的眾籌融資:2月2日消息,DeFi 工具開發公司 Aurox 宣布在際交易集團投資的通證化證券平臺 tZERO Markets 上發起眾籌融資活動,尋求從公眾籌集資金以繼續產品開發和擴展,本次融資符合美國證券交易委員會 (SEC) 頒布的眾籌條例 (CF)。Aurox 由加密交易員 Giorgi Khazaradze、Ziga Naglic 和 Taraz Andreyevich 于 2020 年共同創立,其開發工具為交易者、投資者和機構提供去中心化金融服務,目前已集成 50 多家交易所和 10 萬多個交易對,去年已發布 Web3 錢包。[2023/2/3 11:44:14]



權重ω1,ω2 也代表兩種代幣總市值的占比,如果指定ω1=ω2=1/2,那么該池就等價于 Uniswap 的池子。特別的,Balancer 允許至多 8 種代幣的混合池,當代幣種類大于兩種時,其交易函數擴展為:

其他推導步驟也可類似地拓展到多幣的情形,推導步驟在此略過。
Curve V2
Curve 協議的交易函數是恒定和函數和恒定積函數的線性組合:

類似的,我們可以推導出邊際價格,當 Δ1->0 時,

BendDAO上Ape Staking服務已質押149萬枚APE:金色財經報道,據BendDAO網站數據顯示,BendDAO上的Ape Staking服務已質押149萬枚APE。據悉,BendDAO在12月7日上線Ape Staking服務,支持BAYC/MAYC生息。[2022/12/12 21:39:36]

根據上一步得出的邊際價格公式,我們可以通過比較單次交易前后邊際價格的變化,來定義這次交易的價格影響。比較三種協議的價格影響,我們能得出以下結論:假定交易同等數量的代幣 1,設定ω1 越高的 Balancer 池,其價格影響越大,如果ω1>1/2,那么價格影響大于相同交易在 Uniswap 池中的影響,反之亦然。而在平衡點附近(即價格偏移不嚴重) Curve V2 的價格影響最小。
在下面的例子中,我們比較四個不同池子的單次交易價格影響,假設初始池中代幣總量 R1=R2=10000:
一個 Uniswap V3 池,初始價格為 1
一個 Balancer V2 池,ω1=0.4,ω2=0.6,初始價格為 0.666
一個 Balancer V2 池,ω1=0.6,ω2=0.4,初始價格為 1.5
一個 Curve V2 池,α=1,β=3,初始價格為 1
四個池子的價格影響曲線如下圖所示:

Figure 1 價格影響曲線
明顯的,對于交易相同數量 Δ1 的代幣 1,對價格的影響排序如下:Balancer V2 w1=0.6 > Uniswap V3 > Balancer V2 w1=0.4 > Curve V2。
對于 Curve 來說,因為其在一定范圍內價格影響最小,所以最適合穩定幣的交易對。根據以往 AMM 協議的經驗,價格影響曲線的形狀往往和流動性提供者的收益相關。距上圖所示,因為 Curve 的價格影響曲線最平緩,導致滑點較低,從而使交易者在這個區間中更頻繁地(或更大量)交易,最終流動性提供者賺取了更多的交易手續費。
分析師認為Silvergate的股價不應該受FTX的影響:金色財經報道,在加密貨幣交易所FTX持續受到關注的情況下,Silvergate Capital(SI)在周二股價暴跌超過20%之后,受到了華爾街分析師的辯護。BTIG分析師Mark Palmer表示,他在周二與Silvergate的總裁Ben Reynolds進行了交談,后者告訴他Silvergate既不持有FTT代幣,也不針對它們進行貸款,FTX的挑戰對該公司沒有直接影響。另外,Canaccord強調,Silvergate自己不持有任何加密貨幣資產,應該能夠避免FTX情況帶來的額外風險。(coindesk)[2022/11/10 12:41:09]

Table 2 無常損失
對于 Uniswap V3 來說,來自單一提供者的流動性是被放置在某一封閉區間上的,當一種代幣的價格下降時,LP 對該種代幣的風險敞口逐漸增大,直到價格來到區間邊界。此時,該 LP 只有對該種代幣的風險敞口,對另一種代幣的敞口為 0,若價格繼續往同方向移動,則敞口維持不變。
對于 Balancer V2 和 Curve V2 來說,流動性是對整個價格區間提供的,所以敞口會在整個區間上逐漸變化,不會到達最大 / 最小值。

Figure 2 Balancer 池在不同權重配置下的相對價格變化對無常損失影響
對于 Balancer 協議來說,代幣 1 的權重ω1 越小,相同價格波動下的無常損失越小,這是符合直覺的,因為 LP 持有代幣 1 的量變小了。
對于想要參與這三種協議的流動性提供者來說,它們對于出金和入金的規則比較起來并沒有絕對的優劣,不過根據個人的資產類別和風險偏好,每個協議都有更適合的情形:

去中心化存儲平臺Iagon將集成COTI旗下穩定幣Djed:金色財經消息,Cardano生態項目COTI與去中心化存儲平臺Iagon達成合作,Iagon計劃將COTI旗下穩定幣Djed集成至共享存儲經濟平臺上,允許用戶使用Djed作為存儲交換支付手段。[2022/7/13 2:11:06]
Table 3 出金與入金
對于 Uniswap V3 來說,入金時存入兩種代幣的配比由兩點因素決定(1)區間的兩個邊界 (2)當前交易價格。 簡單來說,如果當前交易價格等于兩個邊界價格的幾何平均數的話,LP 需存入 50:50 等量的兩種代幣。若當前價格更偏向一側,那么 LP 需要存入的代幣中,更便宜的那種代幣占據更高的比重。若當前價格在區間之外,LP 只需提供更便宜的一種代幣即可。
具體計算方法如下:

當出金時,兩種代幣的本金提取量可做類似計算。已賺取的手續費部分,以交易發生時的代幣類型收取并提取。對于 Balancer V2,LP 入金時總是需要提供池中所有種類的代幣,其配比決定與該池的權重設置

對于 Curve,當入金時,LP 可以按任意比例存入代幣,或僅存入單一種類的代幣。但是,若存入比例和當前池內的代幣總量比例不符合,LP 將承受一定程度的損失(或獎勵)。因為當 LP 獲取 LP 代幣時,獲得的量由以下公式計算:

其中 D 是在平衡點時池內代幣總量,在流動性增加前其值為 D0,在流動性增加后其值變為 D1。但是,(假設投入相同數量的代幣)當池內代幣比例離平衡點越遠,D 值會相對越小,導致 LP 得到的 LP 代幣量較少,即產生了損失。相反的,若投入的代幣使得池內代幣比例趨向于回歸平衡點,那么 LP 將得到更多的 LP 代幣,即獲得了獎勵。
就流動性聚集來說,Uniswap V3 給予了 LP 最大程度的靈活性,LP 們可以根據自己的意愿聚合出任意形式的流動性分布曲線。相較之下,Balancer 和 Curve 以更多的固定參數設定代替了這種靈活性。

Table 4 流動性聚集方式
Uniswap V3 允許每個 LP 設置任意的流動性范圍,以期望總體流動性聚集在一個最活躍的區間。但是,理論上,根據每個 LP 的自主決定,流動性可以被塑造成任意分布。
舉例來說,一個和 Uniswap V2 等效的流動性分布入下圖所示:

Figure 3 流動性分布 Uniswap V2
這表示,若所有的 LP 都將流動性區間設置為最大可能區間,那么 Uniswap V3 池將會同 V2 等效。
以下是一個和 Curve 近似的流動性分布,所有的流動性都聚集在平衡點附近的一個狹小區間內

Figure 4 流動性分布 Curve
然而,上圖僅僅是 Curve V3 的近似,其實際要更復雜。隨著市場條件變化,最活躍價格區間偏離原平衡點太多時,Curve V3 會根據內置 Orcale 來重新調整平衡點和價格曲線。
以下是一個等效于 Balancer V2 的流動性分布,其聚集于更大權重的代幣價格更低的一側

Figure 5 流動性分布 Balancer V2
然而,以上都不是實際觀察到的 Uniswap V3 池常見流動性分布,常見的分布更類似于以下:

Figure 6 實際觀察到的流動性分布 Uniswap V3

Table 5 交易費用
每個交易對有三個費用梯度的池子供 LP 選擇:0.05%,0.3%,1%。直觀上看,LP 更偏向于高費用池,但當高費用池的交易活躍度遠低于低費用池時,LP 就不得不參與低費用池。交易者更偏向低費用池,但當低費用池的流動性過于稀薄而滑點過高時,交易者就會被迫從高費用池中交易。
根據實際觀察,對于穩定幣交易對來說,0.05% 費用的池子最活躍。對于其他交易對,當市場波動率高時,高費用池變得更活躍,當波動率低時,低費用池更活躍。
Balancer 協議收取兩種費用:(1)交易手續費,以交易額的一定百分比對交易者收取 (2)出金費用,當 LP 從協議中出金時按提取額度收取
交易手續費可設置為 0.05% 到 1% 之間,由池子創建者設置初始值,并由協議根據多因子來動態調整,因子包括:波動率,交易額,無常損失,流動性總量,流動性挖礦獎勵,等等。
出金手續費可由協議設置,但迄今為止未采用。
費用可設置為 0.04% 到 0.4% 之間,可根據目前池內代幣比例做動態調整,當前比例距離平衡點越遠,費用率越低:

通過多方面的比較,可以看出每個協議都采取的不同的方法來契合 LP 和交易者們的多方面不同需要。
Uniswap V3 給予了 LP 最大的靈活性,幾乎所有參數都可以由 LP 自主決定,而團隊并沒有額外加入更多輔助特性,以保持協議的簡單化。而 LP 則需要管理自己的各種風險。
Curve 歷史上曾專注于穩定幣交易對,此新版本 V2 致力于擴展所涵蓋代幣的種類。不同于穩定幣,非穩定幣交易對的市場中價可能會偏移到新的活躍區間,所以此協議可根據內置 Oracle 的喂價調整流動性聚集范圍,而無需 LP 自己重部署流動性區間。此種設計對個人投資者更加友好,但限制了開發更復雜的定制化做市策略的可能性。
Balancer V2 在同一流動性池中容納了多于兩種的代幣,并且賦予不同的權重,這滿足了一部分 LP 差別對待不同種代幣風險敞口的需求。通過增加一側風險波動的方式,來降低另一側的風險。
引用文獻
G. Angeris, A. Evans, T. Chitra; When does the tail wag the dog? Curvature and market making, 2020.
Hayden Adams, Noah Zinsmeister, Moody Salem, River Keefer, and Dan Robinson. Uniswap v3 Core. (2021).
Michael Egorov, Curve Finance (Swiss Stake GmbH). Automatic market-making with dynamic peg (2021)
Fernando Martinelli, Nikolai Mushegian. Balancer Whitepaper (2019)
撰文:Ricky Li、Siddharth Lalwani、 Hongxu Yan,就職于 Altonomy Ventures
Tags:BALANCNCEbalanceFootball DecentralizedVVS FinanceDANCEbalance幣怎么挖
習近平總書記在中央局第十八次集體學習時指出,“要把區塊鏈作為核心技術自主創新的重要突破口”。2020年4月21日,區塊鏈被國家發改委正式納入“新基建”范圍.
1900/1/1 0:00:00The Monolith and the Ape Men 2001 A Space Odyssey, by Hal HefnerDAO 是 Web3 時代社區應有的樣子.
1900/1/1 0:00:00金色周刊是金色財經推出的一檔每周區塊鏈行業總結欄目,內容涵蓋一周重點新聞、行情與合約數據、礦業信息、項目動態、技術進展等行業動態。本文是項目周刊,帶您一覽本周主流項目以及明星項目的進展.
1900/1/1 0:00:00備兌是期權賣方最基本的策略,運用得當也會威力無窮、法力無邊。期權賣方最穩妥的做法是不要使用杠桿的備兌策略。即便是最基本的策略,運用得當也能產生很好的回報.
1900/1/1 0:00:00隨著比特幣等加密數字貨幣的快速發展和區塊鏈技術在諸如金融、云計算等行業的廣闊前景,現在智能合約在區塊鏈上更是得到了廣泛的應用.
1900/1/1 0:00:00金色財經 區塊鏈7月18日訊 根據薩爾瓦多當地新聞媒體El Faro報道稱,該國政府正計劃讓其公民使用美元穩定幣和比特幣.
1900/1/1 0:00:00