BTC/HKD-2.49%
ETH/HKD-2.03%
LTC/HKD-0.31%
ADA/HKD-2.26%
SOL/HKD-6.21%
XRP/HKD-1.48%核心投資邏輯
Curve能在Defi協議的流動性爭奪大戰中穩居第二,坐擁超過100億美金的TVL,是準確的產品定位、精細的機制設計以及長期的平穩運營綜合作用的結果,其項目核心競爭優勢在于:
1.通過早期聚焦穩定幣和穩定對價資產的交易市場,構建了在這個細分領域的強大統治力,成為資產發行方、大額交易者以及尋求穩定收益的做市商的首選平臺,形成了明顯的網絡效應;
2.擁有非常優秀的通證模型,具體體現為:
將平臺上所有稀缺資源的分配,都與治理權深度捆綁,而治理權(veCRV)需要將代幣CRV進行鎖倉才能換取,大量、長期的鎖倉縮小了項目的流通市值
充分引入平臺各參與方(流動性提供者、資產和票據的發行方)的博弈,形成對治理權(veCRV)的持續競逐,進一步提高了對CRV的需求,承接了持續解鎖的CRV賣壓
以上兩者的最終結果是:a.穩定的幣價保證了流動性提供者的APY,留住了流動性;b.將系統的多方參與者與Curve平臺的發展深度捆綁,提高了治理的參與度和有效性;c.為核心參與方制造了極高的轉換成本,長期質押了大量CRV的它們很難離開。
估值
來自于Uniswap等DEX的挑戰、非穩定對價資產交易的新業務拓展不順、穩定幣的市場份額的集中化和監管。
主要風險
總體來看,Curve在穩定對價資產交易領域有著明顯的競爭優勢,其優秀的代幣經濟模型進一步強化它的護城河,并為其代幣價格提供了強大的支撐。
然而,無論是縱向的歷史估值對比,還是橫向與其他交易協議對比,現階段Curve的估值都顯得過高了。
項目業務范圍
Curve是一個基于自動化做市商(AMM)模式的交易協議,主要聚焦于穩定幣、封裝資產(如wbtc\renbtc)、質押資產(stEth)的交易,但近期也開始探索非穩定對價資產的交易業務。相對于Uniswap、Sushiswap等其他交易協議,Curve提供的交易對更集中,主打極低的交易滑點和手續費,可以滿足巨量的資產交易需求。
過往發展情況和路線圖
Curve項目立項于2019年11月,其重要事件的發生時間如下:

業務情況
Curve作為去中心化交易平臺,與Uniswap等綜合性現貨交易平臺的主要差別在于交易種類,目前Curve的交易種類主要集中在穩定幣(USD類資產)以及其他目標價格為1:1的BTC和ETH衍生資產上。
除此之外,在Curve V2版本上線后,Curve也上線了Tricrypto池,開放了USDT、WBTC和ETH等非穩定對價資產的兌換。
需要說明的是,與Uniswap等主流AMM現貨交易平臺的主要服務對象是做市商和交易者不同,Curve其實有三類主要服務對象。
前兩類是做市商和交易者。第三類服務對象被大多數人所忽視了,他們就是穩定幣和BTC、ETH的衍生資產的發行與運營商以及票據發行方,對于Curve來說,第三類群體的量級決定其穩定幣和穩定對價資產業務的天花板。
對于穩定幣的發行商來說,其第一要務就是保證其穩定幣價格不要脫錨,以及在錨定價格點的擁有極佳的低滑點兌換深度,保證這兩點,是該穩定幣能夠進行后續的場景和用戶拓展的大前提,也是用戶對該穩定幣信心的起點。
然而,這兩點并不是那么容易做到的,尤其是“巨額交易下的低滑點”這一條。
而Curve正是目前解決穩定幣發行商這兩個痛點的最佳解決方案,所以大部分穩定幣的發行商都會選擇在Curve上建立穩定幣兌換池,并在初期進行代幣補貼,鼓勵做市商提供流動性。
目前近期市值漲勢迅猛的Terra運營的美元穩定幣UST、Gemini發行的GUSD以及PAX等大家耳熟能詳的穩定幣都在Curve建立了穩定幣流動性池。
除此之外,新興貨幣市場協議Liquity超額抵押鑄造的LUSD,算法穩定幣FRAX等,也在Curve上建立了極好的深度,而極佳的兌換深度正是用戶接受一個穩定幣的信心重要來源。

Curve的USD穩定幣池高達26個,https://curve.fi/pools?
與穩定幣發行商類似的還有BTC在以太坊上的資產發行方,除了發行量最大,共識最強的WBTC(由知名加密機構Bitgo主要運營)之外,還有Ren發行的renbtc、Synthetix的sBTC、火幣發行的HBTC、幣安發行的BBTC等等。
這些機構發行的以太坊版本的BTC,想要獲得更多用戶和場景的采用,同樣要解決其與真實BTC價格的脫錨和深度問題,所以這些機構也紛紛在Curve上通過提案等方式發起了BTC資產的流動性池,保證自己BTC資產的穩定對價和深度。

Curve上的BTC資產池,https://curve.fi/pools?
而Eth2.0的POS機制之下,大量Staking服務平臺興起,比如Lido、Ankr等等。當用戶在這些Staking平臺存入ETH尋求質押獎勵后,都會獲得對應的存幣憑證,比如Lido的ETH質押憑證就是stETH。
而在以日為進化單位的加密世界,用戶對于自己所有資產的流動性和適用場景極度敏感,stETH的背后雖然是比較安全的ETH資產,但如果不為stETH與ETH之間提供充足的流動性,導致stETH與ETH的價格嚴重脫錨或是兌換困難,一方面妨礙了用戶將stETH換回ETH,另一方面也會造成其他頭部Defi項目如Aave、Compound對于stETH的采用。這最終都將造成用戶不愿意選擇Lido作為其質押的平臺。
所以像Lido和Ankr這樣的Staking運營平臺,也紛紛在Curve上發起自己質押資產憑證與ETH的流動性池。

Curve上的ETH資產池,https://curve.fi/pools?
除了資產發型方,以及Staking平臺之外,另一類需要在Curve構建流動池的機構是票據的發行方,當下最主流的票據就是生息資產,比如Compound的cToken,Aave的aToken,Yearn的yToken等,他們發行的票據的流動性如果充足,同樣對于自身業務的開展有好處,這部分將在[業務分類]一節詳述。
印度億萬富翁企業家Sunil Mittal:世界將轉向加密貨幣:4月21日消息,印度億萬富翁企業家Sunil Mittal:世界將轉向加密貨幣。(金十)[2022/4/21 14:38:49]
做市商為Curve提供了流動性,交易者為Curve提供了交易費用,那么各類資產的發行和運營商們為Curve貢獻了什么?答案是:對Curve代幣的龐大需求。
這一點將在[通證模型]一節重點分析。
業務分類
如前面所提到的,Curve的交易業務分為穩定幣、穩定對價資產以及其他非穩定對價資產。接下來我們將就這幾塊業務的情況進行梳理。
穩定幣交易
目前Curve核心的美元穩定幣池有26個,其中日交易量在1000萬美金以上的為3pool、Lusd+3crv和sUSD(DAI+USDC+USDT)池,交易量分別為8220萬美金、2500萬美金和1730萬美金。其余交易量較大的還有UST(680萬美金)、USDN(560萬美金)、MIM(420萬美金)等。
值得一提的是Curve在Polygon上的Aave穩定幣池(aDAI+aUSDC+aUSDT)日交易量高達820萬美金。
PS:以上均為2021.9.1數據。

Curve在Polygon上Aave穩定幣資產池的交易數據,https://polygon.curve.fi/aave
除了美元穩定幣池之外,Curve上還有歐元資金池,但是交易量和資金量都不大。
值得一提的是,這其中的不少穩定幣池,其實當中的資產是“Defi票據”,比如Compound池里的cDAI\cUSDC、Y(Yearn)池里的yDAI\yUSDC\yUSDT\yTUSD,以及MIM池里的MIM,這些資產都不是簡單的穩定幣,而是可用來向發行平臺贖回約定本金+利息的憑證,也就是傳統金融里的“票據”,只不過這些票據的出票人和償付人都是Defi項目。由于其類現金資產的特性,我們也將它們歸入穩定幣類別。

Curve上的票據交易流動性池,https://curve.fi/pools?
穩定對價資產交易
穩定對價資產包括各類機構發行的BTC在以太坊上的鏡像資產,ETH的質押憑證,以及由Synthetix創造的合成資產如sLink等。
BTC類資產交易量最大的是RenBtc池,日交易量為2950萬美金,其次是SBTC池為930萬美金。
ETH類資產交易量最大的是Synthetix協議創造的eth合成資產sETH池,日交易量為840萬,其次是Lido的ETH質押憑證stETH池,日交易量為450萬美金。
Synthetix協議創造的Link合成資產sLink池,日交易量也有130萬美金。
總體來說,穩定對價資產交易量級遠小于穩定幣的交易量。
Curve在Polygon上的穩定對價資產交易池只有renbtc和wbtc一個,日交易量僅為13萬美金。
非穩定對價資產交易
Curve在V2版本上線后,推出了非穩定對價資產交易的資金池,開始正式進軍穩定資產之外的交易市場。目前Curve的主要交易池中非穩定對價資產主要針對加密世界的兩大主流資產:BTC和ETH。
該資金池稱為Tricrypto池,包含資產為BTC、ETH和USDT,這意味著做市商可以存入BTC、ETH和USDT,而交易者也可以使用BTC、ETH和USDT在本池交換其他兩種資產。
目前Curve在以太坊版本上Tricrypto的日交易量為2400萬美金,在Polygon上的Tricrypto池則有1020萬美金的交易量。
考慮到Tricrypto池上線時間不久,這還是一個不錯的成績。
工廠池(pool factory)是Curve核心資產池之外的實驗性流動性池,可以由用戶自發建立,并且通過Gauge weight vote(Curve的核心治理模塊之一,通過投票來決定每日產出的CRV的激勵分配)功能來爭取CRV的激勵額度。
目前工廠池的資金體量不大,其中排名最靠前的ibEUR/sEUR資金池的流動性為1945萬歐元,日交易量150萬美金。

Curve上的工廠池,https://curve.fi/factory
多鏈業務情況
Curve目前在ETH、Polygon、Fantom和xDAI四條鏈上部署了服務,大致情況如下:

盡管Polygon和Fantom的業務量上升比較迅速,但是目前以太坊仍然是Curve的主要業務陣地。
總結
筆者對以太坊鏈上的Curve的當前日交易量最大的流動性池進行了統計和排序,如下:

其中有一些情況值得注意:
穩定幣交易仍然是Curve最大的業務,占據了總量的大半壁江山,除了USDT、USDC兩大中心化穩定幣之外,LUSD、FRAX、UST等去中心化乃至算法穩定幣在Curve的穩定幣業務占比中有明顯上升。
BTC和ETH的封裝和衍生資產的占比也在上升,尤其是stETH,其流動性達到了驚人的44億美金,占據了Curve總TVL的近40%
以BTC、ETH為代表的不穩定對價資產的流動性池發展迅速,交易量位居前列,如果把Polygon上的tricrypto池算上,日交易量將達到近3000萬美金
總體來說,盡快Curve的穩定幣兌換業務占比仍然較高,但是其業務多元化的趨勢非常明顯,體現在不穩定對價資產的交易量起勢迅速,Staking資產業務爆發式成長,以及穩定幣版塊內更多穩定幣類型的發展等等。
Uniswap V3日交易量已經超過V2日交易量:Uniswap V3日交易量已經超過V2交易量,根據Uniswap的分析頁面,在每日交易量方面,V3在過去24小時內已超過V2,達到14.8億美元,而V2的日交易量為11億美元。(Cointelegraph)[2021/5/26 22:45:17]
團隊情況
整體情況
Curve不是一個匿名團隊,但是并沒有公布團隊目前的人員規模,在Linkedin上,能找到的Curve的在職人員有兩位,分別是Curve的創始人和CEO:Michael Egorov,以及另一位核心團隊成員Julien Bouteloup。在2020年8月,Michael Egorov曾經在Telegram上接受過加密媒體Crypto Briefing的訪問,在對話中他表示有5位成員加入了團隊,分別是兩個開發Angel Angelov and Ben Hauser,以及三個社區工作人員Charlie Watkins, Kendrick Lama和Chris(知名華人加密KOL,Youtube:區塊先生)。而目前在Curve的Discord頻道中,還有一位michwill也在Curve team的身份組。
團隊目前應該至少是一個8人小組。
創始人Michael Egorov

Michael Egorov是Curve的創始人兼CEO,在莫斯科物理技術學院獲得了應用數學和物理學士學位,在斯威本科技大學獲得了物理專業博士學位,在莫納什大學物理專業又拿到了博士后學位。
職業履歷方面,他在2007-15年一直在多家企業輾轉擔任軟件工程師。13年,他接觸到了比特幣,2015年從領英離職創業,與人聯合創建了NuCypher并擔任CTO,正式從傳統行業轉向區塊鏈行業。
NuCypher旨在為區塊鏈和dapp提供數據隱私層,在2016年獲得了知名創業孵化器Y Combinator的種子輪投資, 2017年又獲得Compound、Polychain等知名加密領域機構的投資,共獲得了4.4 億美元融資,此項目當前代碼更新依舊活躍。
在NuCypher期間,Michael Egorov開始使用MakerDAO協議, 并開始思考流動性、動態抵押等問題。2019年下半年開始開發Curve,在開發期間,yearn創始人Andre Cronje也曾參與了產品的設計探討。
2020年6月Michael Egorov離開了NuCypher,成為了Curve的全職CEO。
核心成員Julien Bouteloup

根據Julien Bouteloup在Linkedin上的信息,他早年一直從事區塊鏈業務的咨詢工作,客戶包括司法和金融機構。他從2020年1月就加入了Curve團隊,同時間他成立了Stake DAO——一個通過Staking、收益耕作等操作幫用戶獲得多鏈收益的平臺,該平臺也在2021年2月通過了Curve的社區投票,加入了Curve的治理白名單。該白名單允許用戶在該平臺存入CRV,委托Stake DAO進行治理和獲得收益。目前他還是Stake Capital的CEO,這是一家Defi量化對沖基金。
融資情況
Curve并未公開過其融資和資金情況,不過在代幣的分發設計上,有30%的CRV代幣將分發給項目股東。
行業空間及潛力
分類
Curve所處的賽道是DEX,除了以太坊之外,還在其他流量較大的主鏈如Polygon、Fantom上也有部署。
DEX是與CEX(中心化交易所)相對的概念,兩者的主要差別在于用戶是否掌握自己資產的私鑰。
在目前的DEX設計中,主要有AMM和訂單簿兩種類型,訂單簿模式類似于中心化交易所的掛單撮合模式,而其中AMM(Automated Market Maker,自動化做市商)模式目前為更多的協議所采用。
目前各條主鏈上交易量和TVL靠前的DEX,包括以太坊的Curve、Uniswap,BSC上的Pancakeswap,以及Polygon上的Quick等,均采用了AMM模式。
市場規模
根據Debank的多鏈數據,2021年主流DEX協議的日最高交易量達到240億美金(5月19日和5月29日兩次暴跌當天),4-5月交易旺季的日交易量在70-100億美金,近期的DEX24小時交易量在47億美金左右,距離去年同期的5億美金交易量,同比上漲了近9倍。

近一年DEX日交易量,數據:Debank
而DEX的活躍地址數同樣經歷了大幅的增長,2021年主流DEX的活躍地址數在5月12日創出了日活躍近90萬的記錄,近期保持在40萬+活躍地址的水平,同比上漲約20倍。

近一年DEX日活躍地址數,數據:Debank
DEX作為加密世界最底層的協議之一,其用戶量和交易量仍將隨著加密商業的發展而繼續上揚。
然而,正如前面所多次強調的,Curve的長處在于穩定對價資產,外匯市場一直是Curve想要進入的領域。
在今年7月接受加密媒體Rekt專訪時,Curve的創始人兼CEO Michael Egorov表示Curve有進軍外匯交易市場的計劃,只不過方式是用穩定幣來進行,這是Curve未來的增長來源之一。
目前外匯市場每天的交易量是多少呢?大約6兆美元。
此外,Curve實際上還是目前最大的Defi票據交易市場。正如[業務分類]一節中說到的,Curve有大量活躍的票據流動性池,如Compound池里的cDAI\cUSDC、Yearn池里的yDAI\yUSDC\yUSDT\yTUSD,以及Aave池里的aDAI\aUSDC\aUSDT等。這些票據發行方基本都是加密世界的頭部項目,而他們票據的流動性越高,也對他們業務開展有直接的幫助。可以預見的是,未來Defi世界的票據種類和市場規模還將持續擴張。
UNI突破29美元關口 日內漲幅為9.25%:歐易OKEx數據顯示,UNI短線上漲,突破29美元關口,現報29.013美元,日內漲幅達到9.25%,行情波動較大,請做好風險控制。[2021/3/4 18:15:51]
而票據交易是一個比外匯交易還大的市場,僅我國2020年的票據交易量就超過148萬億人民幣。
通證模型分析
代幣總量和分配情況
Curve的項目核心代幣是CRV,CRV從2020年8月13日開始發行,總量為30.3億,總量的分配如下:
62% 分發給流動性提供者
30% 給股東,在 2-4 年內線性解鎖
3% 給團隊成員,在 2 年內線性解鎖
5% 作為社區儲備
目前已釋放的CRV總量為7.53億左右,日均釋放的CRV約為145萬個左右。
CRV具體的解鎖時間表如下圖:

數據來源:https://dao.curve.fi/inflation
值得注意的是,相比目前的大多數項目,CRV的規劃釋放周期相當長,即使到2026年,也僅僅釋放了總量的60%多,這也保證了CRV為持續的流動性激勵留出了長期的預算和時間。
代幣的價值捕獲
首先需要說明的是,雖然Curve代幣是CRV,但是在Curve設計的機制中,只有憑借將CRV在Locker模塊鎖定后獲得的veCRV,才能夠捕獲Curve的價值,發揮代幣的功能并行使治理權力。
而用戶鎖倉CRV的時間越長,其獲得的veCRV數量也就越多。具體來說,1CRV鎖定4年就能獲得1veCRV,而鎖定一年只能獲得0.25veCRV。

CRV鎖定兌換veCRV的比例,來源:https://curve.fi/usecrv
關于veCRV有另外兩個機制值得注意:
veCRV不能轉賬;
隨著鎖定的CRV逐漸逼近到期時間,veCRV的數量會線性衰減。
CRV\veCRV對于持幣者的價值包括——
獲得平臺的交易手續費:用戶將CRV代幣質押鎖定后,憑借質押的veCRV的數量獲得全平臺大部分交易池的手續費分成,分成的比率為總手續費的50%(另外50%給流動性提供者),而分成通過3CRV代幣發放(3CRV是穩定幣兌換池3POOL的LP,可以1:1兌換為其他穩定幣)。
流動性做市的收益加速:流動性提供者在鎖定CRV之后,可以通過Boost功能來提高自己的做市所獲得的CRV獎勵收益,進而提高自己做市的整體APR,Boost所需的CRV由所在池和LP的資金量決定。
協議治理:Curve的治理同樣需要通過veCRV來實現,治理的范圍除了協議的參數修改,還包括Curve的新增流動性池投票,以及CRV的流動性激勵在各個交易池之間的權重分配等等。
CRV、veCRV對于整體協議的價值捕獲相當充分,不僅能獲得協議的手續費分成和加速做市收益,其在治理上的作用也非常巨大,這就為CRV創造了巨大的需求和穩定買盤。
而在Curve的系統之外,用戶鎖定CRV獲得veCRV,還能獲得其他Curve支持與合作的項目代幣的持續空投。
比如在BSC上的DEX項目Ellipsis會空投其代幣EPS總量的25%給veCRV用戶,基于Curve的流動性和CRV質押管理平臺Convex的代幣CVX也將空投總量1%給veCRV用戶。建立在波卡上的貨幣市場協議Equilibrium也有空投的可能性。
CRV代幣的核心需求方
與大部分項目代幣“重現金流捕獲,輕功能性”不同,CRV代幣除了有現金流捕獲能力之外,在Curve系統中也有極強的功能性,重點體現為對于治理權的控制。
在同一梯隊的頭部Defi中,Curve的治理參與度、提案數量和質量,都是業內頂級的,被不少人譽為“DAO治理的典范”。之所以如此,是因為Curve的治理權擁有比其它Defi更高的價值和稀缺性,會引來大量機構級用戶的爭奪。
第一個關鍵問題:CRV代幣所對應的平臺治理權的核心價值是什么?
上幣的裁判權:平臺通行卡
正如前文[業務情況]一節所說,Curve與Uniswap、Pancakeswap等通用性現貨交易平臺不同,它主要聚焦于服務“穩定對價資產”的交易,這類資產無論是像Terra發行的UST、火幣發行的HUSD這樣的穩定幣,還是像stETH這樣Lido提供的ETH質押憑證,它們都有極強的“錨定需求”。
穩定對價資產與普通項目方的代幣不同,項目代幣可以漲漲跌跌,交易深度的需求也是適中即可;而項目方發行的穩定對價資產如果波動劇烈,深度不足,那就意味著項目的根基動搖,業務必將衰敗。
所以項目方必須要想辦法為自己發行的穩定對價資產找一個深度最佳,穩定效果最好的地方來做市,滿足巨額交易之下依舊保持低滑點的交易需求,目前擁有這個能力幾乎只有Curve。
與誰都可以在Uniswap提供流動性不同,用戶如果想要進入Curve的核心流動性池,必須通過社區投票滿足條件:30%以上的veCRV投票參與度,51%以上的支持率。隨著CRV的流通總量越來越大,這個門檻也會越來越高。

CURVE Snapshot的sCIP提案,針對穩定幣MIM開設流動性池的投票

借貸協議dForce在Curve治理論壇發起的提案,希望Curve新增其穩定幣的流動性池
無論想要在Curve上幣的項目是自己去買票自投,還是尋找社區內的大戶支持,這都增加了機構對于CRV的直接需求。CRV在其中的作用,有點類似于2019年的IEO狂潮中BNB和HT的投票權利,成為了上幣項目方的剛需。
CRV激勵的分配權:流動性的指揮棒
UNI突破20美元關口 日內漲幅為4.99%:火幣全球站數據顯示,UNI短線上漲,突破20美元關口,現報20.002美元,日內漲幅達到4.99%,行情波動較大,請做好風險控制。[2021/2/10 19:23:51]
即使登陸了Curve,開設了流動性池,資產發行方的工作也遠未結束。想要為自己的資產爭取良好的深度,就必須讓自己的流動性池獲配更多的CRV流動性挖礦獎勵,這樣才會有做市商來提供足額的流動性,穩定資產發行方的代幣才能保證交易的交易深度,后續的業務開展才有了根基。
而每天產出用于流動性挖礦激勵的CRV,其分配是由Curve的DAO核心模塊“Gauge Weight Voting”決定的,用戶通過自己的veCRV在“Gauge Weight Voting”投票,可以決定下一周的CRV在各個流動性池的分配比率,分配比率越高的池子,就更容易吸引到充足的流動性。

CURVE的Gauge Weight Voting投票界面,顯示著根據目前投票下個周期CRV的分配情況
因此,穩定資產的運營方仍然需要充足的veCRV用于投票。某種意義來說,其他流動性池都是這個資產運營方的競爭對手,想要保證自己的資產流動性始終在CRV的挖礦激勵下保持充足,就必須繼續購買CRV不斷投票,繼續在Curve上這場沒有硝煙的戰爭中“內卷”下去。
總結:由于穩定資產運營方對自己發行資產的錨定與流動性的超強需求,讓自己的穩定資產登陸Curve建立流動性池,并獲得CRV的流動性挖礦激勵以保持足夠的交易深度,幾乎是他們的必然選擇。所以這些項目方對于CRV代幣有著大量、長期的需求,用來買到“上幣通行證”和“流動性指揮棒”。當然,在通過CRV獲得項目治理權的同時,這些項目也將獲得Curve平臺的穩定分紅,作為一份現金流收入。
第二個關鍵問題:是誰在爭奪CRV治理權?
除了穩定對價資產的發行方之外,另一個對于Curve治理權有著強大需求的是各類機槍池(Yield Farming平臺),比如Yearn.finance(YFI的項目方)、Harvest.finance、Vesper.finance等等。Curve由于其穩定的收益能力,強大的資金容量以及較好的安全性,幾乎是所有以太坊機槍池的核心收益來源之一。他們從用戶這里募集資產,將資產經過層層封裝之后存入Curve,以獲得手續費+CRV代幣的獎勵。
而機槍池之間同樣面臨著競爭,他們需要為用戶提供更高的收益以提升自己的TVL。
所以,一方面他們需要購買CRV為自己提供的流動性提高做市收益以滿足用戶的回報,他們存入的資金量越大,所需的加速CRV就越多;另一方面,他們也要為自己資金所在的流動性池爭取更高的CRV流動性挖礦獎勵,因此需要持續用veCRV在Gauge Weight中投票。此外,機槍池還能發起有利于自己項目的提案,或是打擊競爭平臺發起的提案。

Yearn在今年多次大筆購入CRV并鎖倉,用來加速自己的收益以吸引用戶
為了更好地獲得Curve的治理權,Yearn.finance在2020年11月推出了Yearn backscratcher vault,用戶把自己的CRV永久存入backscratcher vault,可以獲得比用戶自己將CRV鎖定在Curve更高的APY,同時Yearn也獲得了用戶的投票權,可以藉此影響Curve的決策走向,并提高Yearn所有基于Curve的資金池的收益,最終為Yearn帶來更多的用戶和更高的TVL。
Curve核心成員Julien Bouteloup所創立的Stake DAO從2021年1月開始加入了這場競爭,并在2月通過Curve DAO的投票,成為Yearn之后第二家獲得Curve治理白名單的CRV存托協議。
競爭的加劇讓存托平臺開始在提升用戶體驗方面花心思,Yearn在2021年2月,為那些在Yearn鎖定CRV的用戶推出了yveCRV(用戶在Yearn存入CRV的憑證)和ETH的流動性池子,并讓Sushiswap為該池子提供了挖礦獎勵。
為了應對競爭,Stake DAO在今年5月在Balancer上推出了sdveCRV(用戶在Stake DAO存入CRV的憑證)與CRV的流動性池,為用戶提供了退出途徑。
這場治理權競標賽的最強選手在今年5月出現。
Convex是一個為Curve的流通性提供者和CRV的質押者提供服務的平臺,相對于Curve復古又復雜的界面,Convex的用戶體驗更好,而且在4年內,用戶在Convex上存入CRV都會獲得Convex的代幣CVX獎勵。

Convex的首頁,https://www.convexfinance.com/
Convex在5月中旬正式上線后,其控制的veCRV只分別用了2天和14天就超過了Stake DAO和Yearn。

veCRV數量對比,數據來源:Dune Analytics
除了CVX的激勵之外,Convex的迅速起勢還源自于它獲得了Curve官方團隊的開發支持,并有Curve核心人員的投資,類似于Curve的“親兒子”,因此迅速取得了社區的信任。
或許也正因為如此,盡管Convex與Yearn在治理權上存在競爭關系,但是在4月對于是否把Convex加入Curve治理白名單的投票中,Yearn所控制的veCRV也投出了“Yes”票。
目前Convex所擁有的veCRV已經占總供應的30.8%,僅次于Curve官方質押的60.6%,Yearn僅占7.5%。
這場治理權的爭奪戰還將持續多久?
目前來看,只要Curve依舊在穩定資產的兌換領域占據頭部,這場戰爭就不會結束。
通證模型總結
正如Curve在對CRV的設計目標里說的那樣:CRV代幣的主要目的是激勵Curve Finance平臺上的流動性提供者,以及讓盡可能多的用戶參與協議的治理。
Bitwise 10 加密指數基金新增入選 UNI 和 AAVE 兩種加密資產:加密資產管理公司 Bitwise Asset Management 宣布 Bitwise 10 精選大盤股加密指數 (Bitwise 10 Select Large Cap Crypto Index) 新增兩種新的加密資產,分別是 Uniswap (UNI) 和 Aave (AAVE)。此外,該加密指數中,原來包括的 Cardano (ADA)和 Cosmos (ATOM)已被移除。[2021/1/30 14:23:50]
為了達到這個目標,Curve做了兩個關鍵性的全局設計:
第一個設計:把所有的賦能都給投票權益代幣,而非CRV。
CRV本身沒有權益,只有質押CRV換得投票權益代幣veCRV,才能捕獲收益,發揮功能,以及參與平臺的治理博弈。甚至連外部項目的空投,都只給veCRV的用戶發。

veCRV的作用和賦能,來源:Curve文檔
而只有去提供流動性,手頭的veCRV才能發揮出最大效用:1.通過Boost功能,加速自己流動性的收益率;2.為自己的流動性池投票,爭取更多CRV分配。
第二個設計:把平臺的核心資源分配全交給DAO,在治理權上充分引入競爭。
正如前面所提到的,資產發行方、收益平臺等機構對于CRV的爭奪,本質上是在爭奪Curve的治理權。治理權之所以如此珍貴,是因為Curve核心資源的分配都由DAO決定:
上幣審批權
流動性的分配權
關鍵參數
……
隨著CRV的不斷釋放,原有的治理權也會不斷被稀釋;另一方面,隨著CRV鎖定時間的逐漸到期,其對應的veCRV數量,也就是治理權重也會逐漸衰減,想要繼續保持影響力,就要持續買入CRV,或是不斷延長CRV的鎖倉時間。
這也解釋了為什么CRV的平均鎖定時間達到了驚人的3.64年(最高4年)。

CRV的平均鎖倉時間,https://dao.curve.fi/locker
各類機構在Curve上的博弈和內卷,產生了對CRV的持續需求,穩住了大量增發之下的CRV的價格,又托住了Curve的做市APY,吸引到了流動性,這形成了一個循環。
這兩個設計,正好應和了“盡可能多的用戶參與協議的治理”以及“激勵Curve Finance平臺上的流動性提供者”這兩個代幣的設計初衷。
Curve的經濟模型思路給業內的很多項目也提供了養分,在Cream、Mobox近期發布的新版通證模型中,我們能都看到Curve DAO的影子。
然而,要保證Curve通證經濟的循環繼續,有一個先決條件:Curve能繼續維持其在穩定對價資產上的壟斷地位,持續收取其對于資產發行方和收益耕作平臺的“壟斷租”。
而非行政壟斷在大多數時候往往是脆弱的,在日新月異的加密世界里更是如此,Curve的挑戰者已經出現了。
這點將在下一節“項目競爭格局”中討論。
項目競爭格局
中期來看,Curve立足穩定對價資產,同時探索非穩定對價的交易市場。盡管交易品種的外延在擴展,但為交易者提供“大金額、低滑點、低手續費”的服務,為做市商提供“簡單、安全、穩定”的收益來源的產品定位并未發生變化。
結合TVL、交易量、社區聲望以及與外部協議的組合數量來看,目前真正能讓Curve感到害怕的對手只有Uniswap。
筆者將就目前兩者的競爭態勢進行比較和分析。
Uniswap vs Curve:交易量
在以太坊上,Uniswap的交易量占據絕對優勢,V3上線也對其的業務增長起到了較大的推進作用,從今年5月的總交易額占比52%左右,上漲到近期的68%,6月底最高時一度達到71%。同期Curve的交易量在10%-6%之間徘徊。
如果將Curve近期在Polygon、Fantom上的交易量納入,那這個數據則可以再提高1-2個百分點。

以太坊主流DEX周交易額占比,數據:Duna Analytics
Uniswap vs Curve:TVL
從鎖定的流動性來看,Curve擁有行業領先的數據,其9月2日的TVL為127億美金,同時期UniswapV2(49.4億)+V3(27億)版本的TVL總金額為76.4億。這一方面意味著Curve擁有著更好的整體深度,另一方面也意味著對于做市商來說,整體資本效率是Uniswap更高(但也意味著更高的做市風險)。

Defi TVL排名,數據來源:Defi Llama
Uniswap vs Curve:核心穩定幣業務
Curve為了利于穩定資產的高額低滑點兌換,在穩定對價資產的兌換公式上沒有采用傳統的AMM恒定乘積公式,而是通過將 xy=k與x+y=k兩個基本價格曲線按照一定權重比例進行擬合。其具體的公式如下:

來源:Curve白皮書
而Uniswap在升級V3版本之后,為做市商推出了靈活的自定義參數,做市商可以任意決定自己流動性的分布范圍。在這個機制下,Uniswap上的穩定幣做市商統一把穩定幣的做市范圍集中在1:1對價附近,這相比以往大大提高了做市的效率,降低了穩定幣兌換的滑點,此后Uniswap的穩定幣交易量迅速上漲。
Curve上最大的穩定幣交易池是3POOL,包含USDT\USDC\DAI三種穩定幣的兌換,而USDT\USDC、USDC\DAI和USDT\DAI同樣是Uniswap上交易量前三的穩定幣對。我們來做以下對比:

我們發現,盡管Uniswap在三個主要穩定幣的流動性遠小于Curve的3POOL,但卻創造出了更高的交易量。不過Uniswap的交易多以幾千和小幾萬的交易為主,交易筆數更多,而Curve的大額交易更多,交易筆數更低。
盡管目前UniswapV2的總TVL仍然高于V3,但其穩定幣的流動性和交易量大部分都已經遷移到V3上,具體如下:

由此來看,Uniswap V3推出以來,對于其穩定幣交易業務的推動是非常明顯的,在三個核心穩定幣的交易量上高于Curve的3POOL。
當然,由于Curve除了3POOL之外,還有著更豐富的穩定幣交易池(如sUSD),且都具備不小的交易量,所以在穩定幣交易總量上,Curve目前還是領先于Uniswap。
從交易深度和滑點來看,我們使用從小到大的多筆交易金額來測試用USDT購買USDC的情況,以衡量同樣交易金額之下,兩個平臺的交易損耗(手續費+滑點)情況:

我們發現,目前不管是小金額還是大金額,大部分情況下Curve的交易損耗都比Uniswap要少60%以上,隨著交易金額的進一步上升,當來到7000萬以上的兌換量級,Curve依舊可以保持其低滑點的水平,Uniswap則會因為脫離做市商設置的流動性區間而基本無法達成交易。
總體來說,交易量越大,交易者使用Curve的動機就越強,億級單位的單幣交易,目前仍然只有Curve可以承載。

上月在Curve完成的一筆高達1.6億美金的交易,數據:etherscan
Uniswap vs Curve:其他穩定對價資產
如WBTC與RENBTC、stETH與ETH等穩定對價資產,目前在Uniswap上基本則沒有流動性,Curve在這部分交易市場處于壟斷狀態。
Uniswap vs Curve:非穩定對價資產
Curve在今年6月發布了V2版本,推出了多維恒定乘積公式:

Curve在其V2白皮書《Automatic market-making with dynamic peg》中這樣說到:“我們設計了一種為不一定相互掛鉤的資產創造流動性的方法,這種方法比恒定乘積等式x · y = k(Uniswap采用的AMM公式)更有效。我們把流動性集中在由當前“內部預言機”提供的價格附近,且僅當損失小于系統賺取的部分利潤時,才會移動該價格。這將創造比Uniswap恒等式算法高5 - 10倍的流動性,并為流動性提供者帶來更高的利潤。”
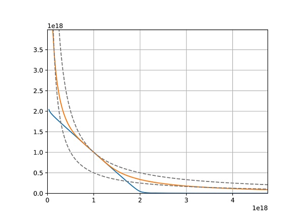
如果將該新公式應用在雙幣資產池里,其狀態就如圖中橙色的曲線,而圖中藍色曲線是原V1版本的公式曲線:

Curve V2白皮書中作為舉例的價格曲線,來源:Automatic market-making with dynamic peg
與Curve V1中通過將 xy=k 與 x+y=k 兩個基本價格曲線按照一定權重比例進行擬合類似,Curve V2 的價格曲線也是由其他基本曲線擬合而成。簡單來講,就是曲線在交易價格附近更接近Curve V1的曲線形狀(藍色),而在遠離交易價格的位置,則更加接近 xy=k (左下方虛線)。以此構成了一個在交易價格附近更平滑,但在遠離交易價格范圍后弧度更大的一條價格曲線(橙色)。相比 V1 版本中更接近于一條直線的價格曲線,V2 的曲線在遠端的弧度更大,以此增加對非穩定幣交易對的支持程度。
這里就要說到Curve V2一項最關鍵的改進,就是當代幣市場價格偏離原聚合范圍時,可以對流動性進行自動再平衡,重新構造一條適用于新價格的曲線。對于如何感知代幣市場價格的變化,大多數項目會選擇采用外部預言機,但外部預言機會存在被操縱的風險。
Curve V2為了徹底杜絕預言機攻擊的可能性,選擇以內部數據作為參考價格,并將這種機制稱為指數移動平均(exponentially moving average)預言機,簡稱EMA。這個EMA預言機提供的報價,是根據Curve的歷史成交價以及最新的交易信息綜合計算得出一種參考價格。這個參考價格有些類似于技術分析中的均線,將根據最新的成交價格進行動態調整,但在調整的同時也會保有一定的滯后性,以免在價格劇烈波動時過度頻繁地觸發再平衡機制。
有了內部預言機提供的參考價格,系統便有了進行再平衡的觸發依據。當EMA預言機報出的價格偏離原始價格超過一定范圍后,協議便會自動對整條曲線的形狀進行調整,使得流動性重新聚合于最新的交易價格附近。
目前該機制已經應用到Curve的非穩定對價多幣種資金池中,稱為Tricrpto pool,目前在以太坊和Polygon上均有部署。


Curve在以太坊和Polygon上的Tricrpto pool
從近日的數據來看,以太坊+polygon的Tricrpto pool日交易量已經達到3000萬美金以上。
正如Uniswap的V3方案威脅到了Curve的穩定幣交易市場,Curve推出的V2方案,也代表著它開始進軍Uniswap所擅長的領域。
然而,雖然雙方開始在各自的強項領域開始了短兵相接,但其實兩個項目的在協議的思路,以及對行業方向的判斷定上大相徑庭。
Uniswap VS Curve:兩種產品思路
Uniswap的思路是通過開發一套可以模擬任何形狀價格曲線的通用解決方案,將各種關鍵參數的決定權留給用戶,期待做市商在協議基礎上能夠通過自由的探索和競爭,最終找到屬于自己的做市方案,以響應市場需求。
Curve團隊則認為用戶期待更簡潔的做市方案,目前階段不應該讓用戶陷于復雜多樣的選擇困境,應當直接為用戶提供自動的解決方案,使用戶只需考慮做市的資金量和做市時間即可,其他全部交給Curve協議自動完成。
對于Uniswap V3和Curve V2的兩套方案,加密媒體區塊律動這樣評論道:
“承認個人與團隊的意志無法永遠正確,并將選擇權充分的開放給市場和社區,自己僅參與底層基礎架構的建設,是 Uniswap團隊的核心理念。承認多數用戶不具備專業分析能力,作為更專業的行業精英有必要提供一攬子解決方案,盡量解決用戶可能遇到的一切障礙,是Curve V2的核心理念。
是直接做一個功能強大的好產品,還是成為一個通用的底層架構并賦能生態發展,這是Curve與Uniswap 兩個頂級團隊開發思路最重要的區別。兩種不同的方法論哪一個會最終通過市場的考驗,或許只有等待時間來給出答案。”
可見,Curve是以做應用的心態在做產品,而Uniswap則是以生態視野看待自己的長期發展。
或許隨著加密交易市場的進一步壯大, 越來越多的機構級做市商進入,Uniswap的模式將有更大的開發潛力,而就目前的市場來說,Curve的做市模式,更符合大多數做市用戶的需求。
項目競爭優勢及護城河
Curve能在所有的Defi協議的流動性爭奪大戰中穩居第二位,坐擁超過100億美金的TVL,是準確的產品定位、精細的機制設計以及長期的平穩運營綜合作用的結果,其項目核心競爭優勢在于:
1.?通過早期聚焦穩定幣和穩定對價資產的交易市場,構建了在這個細分領域的強大統治力,成為資產發行方、大額交易者以及尋求穩定收益的做市商的首選平臺,形成了明顯的網絡效應;
2.?擁有非常優秀的通證模型,具體體現為:
3.?采用了Vyper語言來編寫代碼,并申請了代碼知識產權,為企圖Fork Curve的項目制造了技術和法律上的阻礙。
風險
來自于Uniswap等DEX的挑戰,導致在穩定對價資產交易市場的份額被侵蝕
Uniswap在推出V3后,在穩定幣上的交易滑點問題已經顯著改善,其核心穩定幣的市場交易量也逐步趕超Curve,如果該趨勢進一步擴大,會導致Curve在穩定對價資產兌換領域的行業統治力降低,而這正是Curve的立身之本,優秀的經濟模型只是放大和鞏固了它的這一優勢。
非穩定對價資產交易的新業務拓展不順
Curve v2采用的模式是否能趕超Uniswap V3,擴大其在非穩定對價資產交易的市場份額,這點有待檢驗。
穩定幣的市場份額的集中化
當穩定幣市場的格局固化,幾種頭部穩定幣確立絕對優勢后,新穩定幣項目不再出現,會造成Curve的穩定幣兌換產業鏈中的生態位弱化,無法向新的穩定幣挑戰者再收取目前的“壟斷租”。
監管風險
各國監管部門對于穩定幣的監管、對于Defi交易平臺的監管,是目前Defi面臨的共同風險,但是Curve的DAO治理已經取代團隊的中心化決策,對監管具有一定的抗性。
五個核心問題
項目處在哪個經營周期?是成熟期,還是發展的早中期?
項目的PMF(Product market fit)已經得到充分驗證,產品核心功能成熟,但仍處于行業和項目發展的早中期。
項目是否具備牢靠的競爭優勢?這種競爭優勢來自于哪里?
項目依靠準確的市場定位以及優秀的經濟模型,創造出了明顯的網絡效應,現有核心參與者的轉換成本比較高昂,具有比較充分的競爭優勢。
項目中長期的投資邏輯是否清晰?是否與行業大趨勢相符?
項目的中長期投資邏輯是立足于現有的穩定對價資產交易市場,逐步拓展至更廣的交易領域,甚至開拓外匯等萬億級的交易市場。交易平臺作為加密商業的底層協議之一,仍然有非常大的發展空間,項目發展與行業大趨勢相符。
項目在運營上的主要變量因素是什么?這種因素是否容易量化和衡量?
項目的主要經營變量主要是兩點:1.能否守住立足之本:穩定對價資產的交易市場;2.能否順利拓展新領域:其他資產的交易市場。可以通過觀察Curve的交易金額、產品創新,以及競爭對手的業務數據來衡量。
項目的管理和治理方式是什么?DAO水平如何?
Curve已經完全實現DAO治理,社區的參與度和治理水平都堪稱行業標桿級水平。
估值水平
本研報將采用相對估值法對Curve進行估值比較,包括與過往的估值進行縱向比對,以及與同類項目進行橫向估值比對,得出目前市值高\低估的初步結論。
縱向估值對比
在此,我采用PE這個常見的指標來觀察Curve現有市值和過往市值的水平對比。PE=總市值\協議凈收入,PE值越高,意味著該項目越高估,Curve的PE對比如下:

通過對比,我們發現Curve與今年過往相比的PE水平處于高位,并不低估。
橫向估值對比
在此,我將Curve與Uniswap、Sushiswap進行橫向對比,考慮到Uniswap目前沒有開始征收協議費,我們采用PS市銷率(PS=總市值\協議總收入)來將這三個項目進行橫向對比,同樣的,PS值越高,意味著該項目越高估:

我們發現,站在PS角度,Curve與Uniswap和Sushiswap兩個項目相比,同樣處于高估的位置。
估值評估
本文需要特別感謝Curve社區的“小明同學@機器貓DEFI研究院”、“wellkochi”以及知名加密KOL@區塊先生在資料和信息分享上的大力幫助。
其他參考信息——
項目市值
https://www.coingecko.com/
行業數據
https://curve.fi/
https://debank.com/
https://www.tokenterminal.com/
https://dune.xyz/hagaetc/dex-metrics
報道與研究報告
頭等艙:Curve研究報告
鏈聞:簡明理解 Curve V2 原理:它與 Uniswap V3 流動性方案有何不同?
鏈聞:多維度解析頭部 AMM:Uniswap V3、Curve V2 與 Balancer V2
Rekt:Curve Wars
Messari:Valuation of Curve Finance: The Most Overlooked Protocol
*如果以上內容存在明顯的事實、理解或數據錯誤,歡迎給我反饋,我將對研報進行修正。
如今,NFT已經突破了加密市場的小圈層,逐漸受到越來越多普通用戶的青睞。根據數據分析平臺DappRadar的報告顯示,NFT交易額在2021年第三季度飆升至了100億美元以上,比上一季度增長了七.
1900/1/1 0:00:00全球最大的社交平臺Facebook正式改名Meta,徹底All in元宇宙。10月29日,備受關注的 Connect 開發者大會召開,吸引了全球數萬人參與,會上Facebook 聯合創始人、首席.
1900/1/1 0:00:00最近幾周,全球幣圈最熱鬧的事件莫過于“比特幣ETF”獲得美證監會(SEC)的批準,在紐交所正式掛牌交易.
1900/1/1 0:00:00虛擬?現實? Epic Games的游戲技術,又讓人“傻傻分不清”了: 以為就是一個真人小哥赤身耍大寶劍?不不不,有時候“眼見”可能還真不能“為實”.
1900/1/1 0:00:001.金色前哨 | 報告:要吸收BTC每年排放的二氧化碳 需種植2.84億棵樹據《財富》消息,一項最新研究報告已經計算出需要多大規模的植樹造林,以抵消比特幣、以太坊等加密數字貨幣產生的大量碳足跡.
1900/1/1 0:00:00香港時間2020年12 月 1 日晚 8點,以太坊2.0啟動創世區塊,階段0(信標鏈)正式上線.
1900/1/1 0:00:00