BTC/HKD-1.45%
ETH/HKD-5.82%
LTC/HKD-1.44%
ADA/HKD-1.98%
SOL/HKD-3.04%
XRP/HKD-2.22%最近市場行情比較反復,但因為整體依舊是牛市環境,基差和資金費率都處于歷史較高的水平,這就存在較為可觀的套利空間,再加上歐易推出了統一賬戶功能,對大資金套利的資金利用率,有較為明顯的提升。所以,今天Odaily星球日報就來分享一個實用性比較強的套利策略,以及如何利用歐易的統一賬戶功能,將套利收益提升500%。套利策略——期現套利策略
套利的核心邏輯就是市場存在價差,因為牛市的原因,目前加密貨幣衍生品市場中,永續合約資金費率和現貨杠桿的固定利率,存在差異,使得永續合約與現貨杠桿交易之間存在一個套利空間。以實際情況為例,前幾天OKEx平臺上的幣本位保證金永續合約資金費率和借幣利率如下所示:


a16z Crypto已開源鏈上隱私投票系統Cicada:5月25日消息,a16z Crypto 已開源 Solidity 庫 Cicada,它利用時間同步問題(time-lock puzzle)和零知識證明實現鏈上隱私投票,保證了最小化信任假設,并且可以在以太坊主網上使用,隨后 Cicada 正式證明也即將推出。[2023/5/25 10:38:58]
我們以等級為LV1的用戶為例,此時ETHUSDT永續合約在下一結算時刻的資金費率為0.282%,而ETH的借幣利率為0.05%,LV1等級用戶的交易手續費率為0.05%,此時存在的套利空間為0.282%-0.05%-0.05%*2=0.132%。當然,對于等級更高的專業用戶,其借幣利率和交易費率更低,意味著套利空間更大。套利的必要條件:即用戶可以收取的合約資金費率大于用戶支付的現貨杠桿利息。基于這一點,我們可以分別在幣幣杠桿交易和永續合約交易中建立一個倉位價值相同,頭寸方向相反的頭寸,實現浮動利率與固定利率間的套利。具體操作:1、當資金費率>0,且|資金費率|>借幣利率+手續費率,合約空頭可以向多頭收取資金費,即永續合約開空,現貨杠桿買入倉位價值相當的現貨2、當資金費率<0,且|資金費率|>借幣利率+手續費率,合約多頭可以向空頭收取資金費,永續合約開多,現貨杠桿賣入倉位價值相當的現貨資金利用率的重要性
A股開盤:深證區塊鏈50指數下跌1.49%:金色財經消息,A股開盤,上證指數報3224.68點,開盤下跌1.2%,深證成指報11751.11點,開盤下跌1.45%,深證區塊鏈50指數報2786.69點,開盤下跌1.49%。區塊鏈板塊開盤下跌1.4%,數字貨幣板塊開盤下跌1.81%。[2022/9/14 13:28:30]
在解釋了套利的邏輯之后,我們會發現一個問題,即套利的風險雖然小,但是收益卻非常低,這就決定套利的資金體量,和套利資金的資金利用率非常重要。以傳統的分賬戶模式為例,假設你擁有0.2個ETH,為了更高地利用資金效率,則需要進行分倉,最佳策略是各將0.1ETH放置在杠桿交易賬戶和永續合約賬戶中,同時為了防止爆倉,每個賬戶中倉位的杠桿倍數最高設置為3倍,在ETH/USDT幣對下,用0.1ETH以3倍杠桿開多ETH,倉位價值共計0.3ETH,在幣本位永續合約中用0.1ETH以3倍杠桿做空0.3ETH,倉位價值共計0.3ETH。按照上述表格中的資金費率單日的套利收益是:0.282%*0.3ETH*3-0.005%*2*0.3ETH-0.05%*0.3ETH=0.002493ETH分倉后的單筆倉位收益是:0.002493ETH/0.1ETH=2.493%全倉單日收益是:2.493%/2=1.2465%整個過程中,我們發現制約收益的最大問題在于在分賬戶模式下,杠桿交易賬戶和永續合約賬戶是分開的,兩個賬戶不能共享保證金,無法實現盈虧相抵,用戶不得不降低杠桿倍數,以防止爆倉,使得分賬戶模式的整體資金利用效率低下,收益不高。套利收益提高500%
擁有1300萬粉絲的社交媒體網紅Scuba Jake賬號被黑客竊取,粉絲被盜金額已超1.01 BTC:金色財經報道,擁有1300萬粉絲的社交媒體網紅Scuba Jake的視頻賬號被黑客竊取,而且播放了BTC和ETH欺詐信息的虛假贈品活動,數據顯示已有粉絲上當,目前黑客已非法獲得了1.01 BTC,約合2.1萬美元,同時還將其視頻頻道名稱改為“MicroStargey US”,冒充對加密貨幣友好的美國商業情報公司 MicroStrategy。(Finbold)[2022/9/11 13:22:11]
而歐易新出來的統一賬戶單幣種保證金模式下,由于交割合約與杠桿交易可以共享保證金,并實現盈虧相抵,因此我們可以開設更高的杠桿。我們將杠桿拉滿,ETH/USDT杠桿交易中,最大杠桿倍數為10X;在幣本位永續合約中,最大杠桿倍數為75X。為了盡可能高地利用資金效率,我們可以通過解如下方程組來獲取各倉位的初始保證金:x+y=m;10x=75y其中,x為杠桿交易的初始保證金,y為永續合約的初始保證金,m為賬戶中該幣種資產的數量。在本案例中m為0.2,因此可解得x為0.023ETH,y為0.177。考慮到手續費、滑點等因素,我們在本案例中酌情處理,將x取值0.02ETH,y取值0.15ETH。因此,我們可以用0.15ETH以10倍杠桿做多ETH,倉位價值共計1.5ETH,在ETHUSD永續合約中用0.02ETH以75倍杠桿做空1.5ETH單日的套利收益是:0.282%*1.5ETH*3-0.005%*2*1.5ETH-0.05%*1.5ETH=0.012465ETH全倉單日收益是:0.012465ETH/0.17=7.33%那么在統一賬戶單幣種保證金模式下,該套利策略的爆倉風險有多高呢?保證金率=(該幣種全倉內余額+杠桿交易收益+永續合約收益)/(杠桿交易維持保證金+永續合約維持保證金)即
去中心化保險項目Nexus Mutual為以太坊質押提供保險服務:7月26日消息,去中心化保險項目Nexus Mutual宣布為以太坊質押提供保險服務。Nexus Mutual將為ETH質押驗證節點潛在的處罰風險和獎勵削減風險提供保障。流動質押協議StakeWise已為其質押產品投保。[2022/7/26 2:37:39]

其中,m代表該幣種全倉內余額,n代表倉位價值,代表杠桿交易開倉價格,代表永續合約開倉價格,代表杠桿交易標記價格,代表合約交易標記價格,r代表維持保證金率。這里,我們設

這里的S可代表杠桿交易價格和永續合約價格的變化情況,那么此時
安全團隊:pancake-super[.]com、pancake-vr[.]com是釣魚網站:金色財經報道,PeckShield在社交媒體上稱,檢測到pancake-super[.]com、pancake-vr[.]com 是釣魚網站。它們都與0xF04B869F75680AB53C5965e6705E110dab5Db1A1有關。[2022/7/15 2:15:53]

若,即杠桿交易和永續合約標記價格的漲跌幅相等,那么

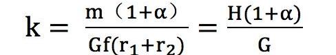
這里,我們用平均杠桿倍數乘以平均初始保證金替換倉位價值n,用用代表幣價的變化率替換S,那么

公式中H是一個固定值,我們可以將上式用三維曲面圖畫出,如下所示,該函數類似于一個卷折的紙箔。在統一賬戶單幣種保證金模式下,當k<=100%時賬戶會強制減倉,從上式可以看出,杠桿和價格漲跌幅是爆倉的決定因素。因此,用戶在使用該策略時,必須先利用插值法獲取相應的價格漲跌幅和杠桿設置范圍。例如在本節案例中,價格變動幅度在內,利用插值法我們可知杠桿設置需在20倍以下,而我們的平均杠桿倍數為15倍,處在安全區間。統一賬戶永續-杠桿套利策略的保證金率曲面圖:

回到本套利策略中,我們為了提高資金效率,使得占用保證金盡可能接近賬戶余額,即,此時

下面我們將G=15代入上式子,可得:

從上可以看出,只有當資產價格下跌約74.5%時,上述套利策略才會被強制平倉。需要強調的是,這里我們只選用了第一檔的倉位和維持保證金率;對于不同的資金規模,對應不同檔位的維持保證金率、借幣額度等是不同的。實際套利情況如下圖所示,從圖中可以看出,盡管我們分別以10X,75X的最高杠桿各開設了1.5ETH的多空頭寸,但在統一賬戶模式下,并未顯著提高我們的風險,其預估強平價在643.47USD,這意味著上述套利策略只有在ETH價格暴跌74%左右才會面臨爆倉。統一賬戶下幣本位永續-杠桿套利可顯著降低爆倉風險:

綜合來說,在永續-杠桿套利策略中,用統一賬戶模式套利較為劃算,資金利用率有明顯提升,收益較原來提高586%,當然,該優化效果僅僅是針對等級為LV1的普通用戶,對于等級更高的專業用戶,由于可獲得更低手續費和借幣利率,統一賬戶下的優化效果會更佳。
Tags:ETHUSDCAKE1ETH3X Long Ethereum Classic TokenUSDGLOCAKEGIRL價格1eth幣等于多少人民幣
4月28日,由Odaily星球日報主辦的「生機2021—區塊鏈生態產業云峰會」順利舉辦。本屆云峰會邀請到區塊鏈行業領袖、優質企業代表、礦業頭部嘉賓以及頂級項目方,共同探討行業變革,鏈接技術應用,
1900/1/1 0:00:004月28日,由Odaily星球日報主辦的「生機2021—區塊鏈生態產業云峰會」順利召開。本屆云峰會邀請到區塊鏈行業領袖、優質企業代表、礦業頭部嘉賓以及頂級項目方,共同探討行業變革,鏈接技術應用,
1900/1/1 0:00:00在五天假期期間,加密貨幣市場表現不可謂不出色,雖然比特幣的漲幅有限,但在這期間以太坊和其他老主流幣種攀上了新的高峰,對于老主流幣的持有者,假期結束后一看賬戶,又是一波新的財富增長.
1900/1/1 0:00:00我們相信,與互聯網類似,區塊鏈世界將趨向于成為一個統一、無處不在、垂直整合的協議棧,每個協議都將在有效權衡下達到帕累托最優.
1900/1/1 0:00:00N詞貼|什么是NFT游戲?除加密藝術外,游戲也是NFT的主要應用場景。NFT游戲允許道具被代幣化,并輕松地進行點對點交易或在市場進行轉讓或交易,同時保證了資產的稀缺性、安全性,也擴展了資產在不同.
1900/1/1 0:00:00互聯網計算機是世界上第一個完全自適應的區塊鏈。互聯網計算機網絡,以及承載網絡的特殊節點機器,在網絡神經系統的完全控制下運行。NNS是一個去中心化的代幣治理系統,是完全無準入的.
1900/1/1 0:00:00