 BTC/HKD+2.14%
BTC/HKD+2.14% ETH/HKD+2.07%
ETH/HKD+2.07% LTC/HKD+3.45%
LTC/HKD+3.45% ADA/HKD+1.83%
ADA/HKD+1.83% SOL/HKD+1.4%
SOL/HKD+1.4% XRP/HKD+1.82%
XRP/HKD+1.82%數字資產領域Cefi、Defi風險頻繁。近期的Kucoin被盜事件中,僅ERC20代幣就損失了1.5億美元。對此,INS3團隊即將推出針對交易所被盜、倒閉、跑路等各種風險事件的交易所信用CDS保險。同時,INS3開發團隊還推出了保險范圍為Cefi、Defi、穩定幣、ipfs云算力的Defi保險產品,以迎合市場需求。CDStoken
與NXM保險不同,INS3的保單是CDS概念標準的ERC777代幣,可以在任意地方進行交易,客戶也可在任何時候可以退保。此外,客戶將INS3將保單與USDT存在Moonswap以及Uniswap從而為保單CDStoken提供流動性,獲取LP,將LPtoken存入INS3即可以獲得INS3的代幣獎勵。
   
數據:900枚BTC從從Kraken轉移到Bitfinex:7月1日消息,據Whale Alert監測,900枚BTC(約合27,420,993美元)從Kraken轉移到Bitfinex。[2023/7/1 22:12:24]
\n精算與保費模型
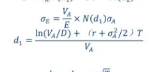
與NXM將保費與staking金額掛鉤,利用staking的預期來為項目違約率進行定價的單一方式不同,INS3采用預期模型、KMV模型與自主鏈上評分卡三者結合的精算模型來確定保費。先來介紹其中的KMV模型模型。信用險的保費定價=保額×(無風險利率+違約率)。我們借鑒了美國成熟債券市場中的DRSK模型。根據KMV模型,
   
5000萬枚USDT從Kraken轉到Bitfinex:金色財經報道,WhaleAlert監測數據顯示, 有5000萬枚USDT(約50,030,000美元)從Kraken轉到Bitfinex。[2023/5/25 10:39:54]
其中,V為公司資產價值,μ為資產價值漂移率,δ為其波動率,dW為標準維納過程。假設債務期限為T,公司股權價值為E、負債為D,無風險利率為r,根據期權定價理論,
   
由此計算違約距離DD:
   
數據:5600萬USDT從Kraken轉移到Bitfinex:金色財經報道,據Whale Alert數據顯示,56,000,000 USDT(56,066,019美元)從Kraken轉移到Bitfinex。[2023/1/15 11:13:22]
并估算最佳違約點參數:
   
其中,α為短期借款乘數,SD為公司短期借款,β為長期借款乘數,LD為長期借款。在實踐中,我們將Defi的鎖倉量以及交易所的公開熱錢包存幣量作為債務,平臺幣或者項目治理代幣的波動率作為波動率,建立和目前項目風險之間的映射關系。在模擬實踐中,INS3版本的KMV模型提前預測了9月13日的BZRX的被盜事件,在被盜前夕將預計保費由4.62%調升至13.66%。
數據:約6700萬枚USDT從Kraken轉至Bitfinex:金色財經報道,Whale Alert監測數據顯示,北京時間09:23:23,69995990枚USDT從Kraken轉至Bitfinex。[2022/11/24 8:02:39]
   
再來介紹評分卡模型。INS3團隊借鑒defiscore的模型針對每個defi項目的鏈上信息制作了評分卡模型:
   
其中,智能合約風險權重占45%,抵押物風險占20%,流動性風險占10%,協議管理權風險占12.5%,預言機風險占12.5%。通過評分卡,Defi項目的質量將更為量化,并反映在保費上。INS3的精算模型融合預期模型、KMV模型以及評分卡模型進行精算定價,精細程度、精算的穩定性和準確性,相比NXM均有所提高。Staking
近60萬枚AMPL從Kucoin轉入未知地址 價值超過100萬美元:Whale Alert數據顯示,北京時間8月30日14:39:13,以太坊鏈上599996枚AMPL(價值超過100萬美元)從Kucoin轉入0xbf6254開頭地址。[2020/8/30]
如果客戶想獲取穩定收益,可以參與INS3的staking來參與承保。與NXM強制質押90天不一樣,INS3的staking資本是一個NFT,可以在NFT交易平臺上自由轉讓。如果不想轉讓,在資本充足率充足的情況下,staking資本可以隨時退出。如果資本充足率不充足,客戶可以注銷保單退出,像Kucoin保單一天保費漲幅達到321%的情況,注銷保單還可獲得盈利。
   
參與staking可獲取70%的保費分成,如果在5-10倍杠桿下,可獲取年化15%~350%的保費收入。
   
同時,參與staking還可以獲得INS3的代幣獎勵。
   
投資模式
INS3團隊目前是市場最大的Defi清算團隊以及中心化和去中心化套利者之一,staking的資本會用于參與Dex和Cex之間的套利,從而實現staking資本的保值增值,盤活staking資本。預言機
與NXM采用董事會初審+社區復審的形式來決定是否賠付的中心化的方式不同,INS3采用自建預言機的模式,任何人都通過API來判斷行情是否正確、資產是否安全、是否能提幣等原創綜合算法,從而判斷交易所是否出現安全事件。參與認證是一種行為挖礦,可以獲得挖礦獎勵。
   
差異點
我們在下表中對比了INS3與目前市面上的保險項目NXM和Yinsure:
   
INS3與Web3.0對應,延續傳統保險1.0和互聯網保險2.0的演進路線,將保險帶入區塊鏈和智能合約托管的3.0時代。將資本進行代幣化,代表著可不借助股票或者債券等金融工具就直接投資“保險公司”,并可以退出和交易。由此,一個“可裝卸”、“可編程”的“保險公司”出現了,這是區塊鏈帶來的生產關系進步。INS3的全球團隊,憑借技術開發功底和保險精算領域經驗,通過了Conflux社區生態基金會的審核并獲得其資助,預計將于10月中旬上線第一只保險產品:交易所信用CDS保險。INS3希望以DeFi+NFT+預言機+跨鏈的模式為去中心化保險生態帶來創新,創造可信、安全、無邊界的加密資產保險生態系統。
Odaily星球日報譯者|Moni編者按:系列加密藝術品《PortraitsofaMind》系列的第21幅作品在佳士得創下131,250美元的NFT拍賣最高成交記錄.
1900/1/1 0:00:00編者按:本文來自加密谷Live,作者:NOWNodes,翻譯:Olivia,Odaily星球日報經授權轉載。在深入探討去中心化穩定幣這個話題之前,我們先來做一個關于穩定幣的回顧.
1900/1/1 0:00:00去中心化金融在金融改革進程中有著重要的地位。第一,這是面向大眾的開放式且無許可證要求的系統。第二,互操作性會促進DeFi公司的產品開發.
1900/1/1 0:00:00經歷今年9月的第一場“擱淺”發布會后,10月7日,蘋果官方公眾號發布“快訊”,宣布于北京時間10月14日凌晨1點舉行發布會.
1900/1/1 0:00:00北京時間9月29日,CertiK安全研究團隊發現Yearn.finance的新項目Eminence.finance出現異常交易.
1900/1/1 0:00:00比特幣很長一段時間以來都是一個方向價格移動,昨日出現了一次兩個方向打針,日內波動600美元。一般而言,這種行情對賣方很不友好,對沖成本很大.
1900/1/1 0:00:00