BTC/HKD-4.49%
ETH/HKD-5.91%
LTC/HKD-6.21%
ADA/HKD-7.53%
SOL/HKD-7.26%
XRP/HKD-5.36%關于DAO治理的公平性,一直為大家所關注。DAOrayaki從數據科學的視角,探討如何量化 DAO 治理的公平性。因此,在本文中,將介紹 3 個指標。
在許多情況下,持有更多的治理代幣意味著在 DAO 中擁有更高的投票權。在代幣分配方面,可能會有不同的情況。例如,1% 的成員擁有 90% 的代幣,或者每個成員擁有完全相同數量的代幣。在前一種情況下,DAO 由 1% 的成員控制,非常中心化。在后一種情況下,每個成員在投票中擁有平等的投票權,符合去中心化的本質。
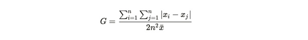
那么我們如何評估代幣持有量的分散性呢?這是第一個指標:基尼系數(又稱基尼指數),由意大利統計學家 Corrado Gini 開發。這個指標被廣泛用于評估收入的不平等,我發現它非常適合我們的目標。
山東濟寧推出全省首個基于區塊鏈的電子證照應用:山東濟寧以證照辦理查驗一體化移動政務服務平臺——濟時通APP數字保險箱為載體,將多個應用場景搭建到濟時通APP數字保險箱中,全市所有行政機關的政務信息都將作為節點接入區塊鏈數字保險箱,利用區塊鏈加密算法生成證照數據二維碼,實現數據真實可靠上鏈。(大眾日報)[2020/12/10 14:47:47]
下面是基尼系數的公式:

分子是總體(DAO 成員)的所有項目對(代幣余額)的平均絕對差值。分母是按 2n2 縮放的平均代幣余額。因子 (2n2) 將基尼系數轉換為 0 到 1 的范圍。
動態 | 航天信息:“基于區塊鏈的電子發票系統”入選工信部第四批網絡安全試點示范項目:據證券時報消息,近日,由工信部網絡安全產業發展中心主辦的“2019年中國網絡安全產業高峰論壇”在北京召開。會上進行了工信部網絡安全試點示范入選項目授牌儀式,航天信息股份有限公司航天信息(600271.SH)“基于區塊鏈的電子發票系統”項目入選工信部第四批網絡安全技術應用試點示范項目。[2019/12/16]
0 表示完全平等,每個成員擁有相同數量的代幣。
1 表示完全不平等,每個成員都擁有所有代幣。
困惑是正常的。可汗學院的這段視頻可能會幫助您建立直觀的理解。
動態 | 基于Augur的DeFi應用Defisurance推出黑客攻擊保險:據Augur官方博客,基于Augur的DeFi應用Defisurance推出黑客攻擊保險。defisurance使得從以太坊、dYdX和Dharma等去中心化的金融協議中的黑客攻擊中獲得保險變得容易,使協議在檢測到黑客攻擊時自動支付給用戶。此外,Augur App現已發布 v1.13.0和v1.13.1,旨在為其V2版本的發布作出準備。[2019/5/23]
以下是基尼系數最低的 DAO。如您所見,所有 DAO 的基尼系數都大于 0.76。相比之下,2017年美國的基尼系數為0.434。因此,可能我數據庫中的所有 DAO 都比美國更集中。
中鈔張一鋒:基于區塊鏈的經濟激勵模型,在嚴肅的經濟理論方面仍處于探索早期:近日,中鈔區塊鏈研究院院長張一鋒在接受采訪時表示,基于區塊鏈的經濟激勵模型,無論是叫做代幣,還是叫做通證,在嚴肅的經濟理論方面仍處于早期探索階段。實踐中的很多項目,實際上是沒法跳出龐氏漩渦的,甚至有些項目,其本質除了以區塊鏈創新之名行規避金融監管之實,沒太多實質性的價值。[2018/6/2]

代幣分布按基尼系數排序
不管代幣如何平均分配,如果只有一小部分成員參與治理,DAO 仍然是中心化的。投票百分比是在每次民意調查中變化的指標,以下是定義。

每個 DAO 中的平均投票百分比通過治理的參與提供了對權力下放水平的洞察。你甚至可以通過比較投票成員與人口之間的代幣分布來更深入地挖掘。這種差異可能表明投票成員是否代表 w.r.t 代幣持有量。
在投票方面,多數成員的共識可能會輸給擁有更多治理代幣(即投票權)的較小群體。成員和代幣,哪一個在 DAO 治理中發揮更大的作用?為了量化這種比較,我在這里介紹最后一個指標:協議系數(AC)。
統計中有多個版本的一致性系數。對于這個即將到來的指標,這是我的一個設想,如果您發現它與先前存在的概念沖突,請聯系我們?
與投票百分比一樣,AC 是特定于投票的。首先,讓我介紹兩個基本概念:代幣率和投票率。

代幣率和投票率公式
上面的公式應該很直觀。為了使其具體化,下面是一個包含 3 個成員和 2 個選項的示例。

一個投票舉例
在本次投票中,選項 2 獲勝。所以代幣率為6/11,投票率為2/3。要得出一致性系數,您可以使用代幣率除以選民率。在這種情況下,AC = 9/11。

協議系數公式
以下是如何解釋 AC。在一個完全“公平”的 DAO 中,假設代幣和成員在治理中扮演相同的角色,AC 預計為 1。當 AC < 1 時,意味著獲勝選項更多地依賴于選民而不是代幣。當 AC > 1 時,表明獲勝選項更多地取決于代幣而不是選民。
原文作者:Sicong Zhao
貢獻者:Demo
審核者:DAOctor
原文:How to evaluate the “Fairness” of DAO Governance? From a data scientist’s perspective
據《華爾街日報》報道,幫助公司管理員工交易的Argus公司的一項分析顯示,一些加密貨幣投資者從有關交易所何時會上市代幣的內幕信息中受益.
1900/1/1 0:00:002022年5月25日,Immutable宣布和StarkNet合作推出鏈接多個L2/L3 zk-rollup的跨Rollup流動性解決方案, 為web3游戲帶來未來的十億玩家.
1900/1/1 0:00:00NFT 當前最主要的價值在于,授權藝術家、創作者和收藏家行使他們分發、轉售和收藏的權利。 NFT 藝術品《第一頓晚餐》以 103.4 ETH 的價格成功拍賣NFT 是數字資產嗎?是的.
1900/1/1 0:00:00在 Terra 生態系統崩潰之后,Terraform Labs 聯合創始人 Do Kwon 繼續招致更多法律糾紛.
1900/1/1 0:00:00NFT全稱為非同質化通證,是區塊鏈上的數字通證,每個通證都擁有獨特的標的物,比如數字藝術品、特殊的游戲物品、稀有的卡牌藏品或任何其他獨一無二的數字/實物資產.
1900/1/1 0:00:00NFT的出現將大眾的視線重新聚焦到稀缺性上,然而實際上“注意力”(Attention)才是加密貨幣領域唯一的稀缺資源。首先,風險資本顯然不是稀缺資源.
1900/1/1 0:00:00