BTC/HKD-0.05%
ETH/HKD+0.02%
LTC/HKD+0.23%
ADA/HKD+0.06%
SOL/HKD-0.18%
XRP/HKD+0.06%漸進式荷蘭拍賣的工作原理是將一筆拍賣分解為一系列荷蘭拍賣,以幫助欠缺流動性的資產完成公開銷售。
本文介紹了漸進式荷蘭拍賣(Gradual Dutch Auction,以下簡稱為 GDA),一種能夠有效地幫助欠缺流動性的資產完成公開銷售的拍賣機制。
GDA 與此前已經被提出的「時間加權平均做市商(TWAMM)」機制意在解決的問題類似,都是可以讓資產在不依賴于市場已有流動性的基礎上進行有效流通和銷售。
GDA 的工作原理是將一筆拍賣分解為一系列荷蘭拍賣(注:荷蘭拍賣是一種常見的拍賣形式,會從高要價開始,然后逐漸降低,直到買家出價)。GDA 允許你便捷地方式同時參與多個這樣的拍賣。
本文會提供更適用于 NFT 銷售的非連續型 GDA 和更適用于代幣拍賣的連續型 GDA 兩種模型,以供讀者理解這個新的拍賣機制。
Web3游戲Cat Paradise以1500萬美元的估值完成近100萬美元種子輪融資:金色財經報道,基于TON開發的Web3游戲Cat Paradise宣布完成種子輪融資,該輪融資以1500萬美元的估值募集了近100萬美元資金,Mask Network、Moon Capital等機構參投。該公司將利用這筆資金改進現有的鏈上技術,聘請更多熟練的開發人員,并接觸更多的客戶。Cat Paradise是一款數字貓寵物養成類游戲,由游戲開發商Pluto Games開發。[2023/6/20 21:47:56]
非連續型 GDA
假設 Alice 想賣出 1 萬件 NFT。她不確定這些 NFT 的公允價格,所以她不想以固定的價格出售。
相反,她可能會選擇進行荷蘭拍賣 —— 從一個很高的要價開始,然后逐漸降低價格,直到所有的 NFT 都被賣掉。不過這種方式并不一定是最優解,因為市場上的買家可能并不足以一次性消化所有的 NFT 作品。
ParaSpace創始人Yubo:個人將為社區提供10萬美元Gas補貼:5月23日消息,ParaSpace創始人Yubo發推稱,個人愿意提供10萬美元來幫助支付社區在5月10日-5月14日期間因提現而損失的Gas費,還將負責為回歸的支持者提供Gas補貼。[2023/5/23 15:20:05]
相反,如果 Alice 一次拍賣一個 NFT。例如,她可能會每分鐘都開始一場新的荷蘭拍賣,拍賣她的一件新作品。這將給市場更多的時間來為她的 NFT 藝術品找到一個公允的價格。
非連續型 GDA 其實就是這一想法的延伸。
機制
非連續型 GDA 適用于銷售 NFT,因為這些資產必須以整數數量出售。工作原理是為每一個 NFT 舉辦一個虛擬的荷蘭拍賣。在一個非連續型 GDA 中,每個拍賣都在同一時間開始,每個虛擬的獨立拍賣都有一個更高的起價。每次拍賣的價格由價格函數給出,該函數的參數包含該拍賣在系列拍賣中的排序,以及正常拍賣開始以來的時間等。
Parex完成650萬美元融資,DWF Labs與Bitgert Ventures參投:5月14日消息,社區驅動的去中心化自治組織 Parex 宣布完成 650 萬美元新一輪融資, DWF Labs 和 Bitgert Ventures 參投,其中 DWF Labs 投資了 300 萬美元,Bitgert Ventures 投資了 350 萬美元。
Parex 是由 ParexChain、Parex Pockets、RaccoonSwap、Change 和其他去中心化應用構建的社區驅動的 DAO 生態系統,新資金將用于加速構建環境友好型 DeFi 和 DAO 生態,并計劃推出 PEP-20 測試網之后上線主網。[2023/5/14 15:02:05]
經過測算得出的一個較優的函數如下:
比特幣礦企CleanSpark以4250萬美元的價格收購Mawson在喬治亞州的礦場:9月9日消息,比特幣礦企CleanSpark以4250萬美元的價格收購Mawson在喬治亞州的礦場以及礦場內的6488臺礦機,CleanSpark以2650萬美元的現金、價值1100萬美元的普通股、300萬美元的本票以及200萬美元的未來收益支付收購款。該交易預計將在年底前增加1.4 EH/s的算力,使總算力達到5.2 EH/s。CleanSpark表示預計2023年初將再增加2.4 EH/s,到明年年底將增加7.0 EH/s。(CoinDesk)[2022/9/9 13:19:34]

Paradigm研究員Samczsun發布以太坊地址標記及搜索網站:9月6日消息,Paradigm研究員Samczsun在推特發布以太坊地址Tag標記網站tags.eth.samczsun.com。Samczsun表示,“我建立了一個非常簡單的網站來標記和標注地址,任何人都可以為之做出貢獻,你可以按地址、按標簽(有通配符)搜索。”
知識圖譜協議0xScope對此表示,“很高興看到開源地址標簽的嘗試,如果Samczsun和Paradigm有興趣,我們也非常樂意分享我們數百萬的地址標簽數據。”[2022/9/6 13:12:03]
其中,每次拍賣的價格根據衰減常數 λ 呈指數衰減,每次拍賣的起價都增加了固定的比例因素 α,第一次拍賣的起價則由初始價格 k 決定。
批量拍賣的價格計算
根據上述價格函數,我們可以計算出批量拍賣的總價。
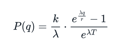
假定 Bob 想購買數量為 q 的待拍賣資產。為了做到這一點,他會購買在每一個獨立荷蘭拍賣中總量為 q 的最便宜的資產。而目前時間為拍賣開始后 T 時刻,迄今為止共計售出總量為 m,則 Bob 購買 q 數量資產的總價格 P 為:

把價格函數代入之后,我們可以得到最終的價格計算公式:

如果假定一些具體的數值之后,我們可以得到如下的一個結果案例:

連續型 GDA
在完成 NFT 銷售之后,Alice 現在想賣掉一些標準代幣。當然她也可以使用上述非連續型 GDA 機制,打包「分段」售出她手中的代幣。
然而 Alice 可能不想讓她所有的代幣都能立即出售,例如她希望代幣按照每天 360 枚的恒定速度釋放。那么她就可以選擇用一系列標準的荷蘭拍賣中出售自己的代幣,而不是使用一次 GDA 進行所有的銷售。比如她可以每小時進行一次 15 代幣拍賣,或者每分鐘進行一次 0.25 代幣拍賣等等。
連續型 GDA 的工作原理就是將這個過程限制到極限,即拍賣之間的時間間隔接近于 0。這意味著銷售被分成無限的拍賣序列,每個拍賣出售無限小數量的代幣。
持續的工作原理是以恒定的排放速率逐步提供更多可供出售的資產。整個拍賣流程會在一系列的虛擬拍賣中被分解。這些拍賣隨著時間的推移,以均勻的速度開始,每次拍賣都以相同的價格開始。
每次拍賣的價格由某個價格函數給出,其中為自拍賣開始以來的時間。價格模型與非連續型 GDA 類似,價格根據衰減常數 λ 呈指數衰減,同時拍賣的起拍價為 k:

參與拍賣的價格計算
假如 Bob 想購買數量為 q 的代幣,為了購入對應數量的代幣,他需要參與 q/T 次拍賣,由于拍賣的價格是持續下降的,所以說他需要對當前所有可報價的獨立虛擬拍賣中最早開始的那些進行報價。
假設目前最早開始的拍賣的持續時間為 T,那么數量 q 的代幣的總價格 P 為:

在不考慮鏈上交互成本的前提下,代入價格計算公式后,完整的價格公式為:

代入一些假定的參數之后,可以得到如下的示例結果:

代碼
Paradigm 還公開分享了 GDA 模型的 Python 模型以及 Solidity 的可實現方案。
結論
GDA 可以用于同質或非同質資產的公開銷售,且對于缺乏基礎流動性的資產來說更具價值,這一拍賣機制的使用場景并不限于文中提及的簡單案例,未來有望在更多應用場景中落地。
撰文: Frankie、Dan Robinson、Dave White
編譯:Amber
Tags:PARNFTARAPARAEtherPartyTRUSTNFTThe Paradox MetaversePARADOX幣
采用零知識證明最知名的技術就是匿蹤幣Zcash的zk-SNARKs。目前主流加密貨幣,不論是比特幣或以太幣都是匿名資訊公開,簡單來說就是不會有人知道錢包的主人是誰,但是大家都知道這錢包有多少錢、.
1900/1/1 0:00:00“The Merge”正在到來以太坊2.0的升級自Vitalik Buterin在2013年發布“下一代智能合約和去中心化應用平臺”——以太坊白皮書以來就一直熱議不斷,在經歷過數次跳票后.
1900/1/1 0:00:00本文來自 Chainalysis繼本周 Nomad 跨鏈橋被攻擊后,Chainalysis 估計,今年到目前為止已有 20 億美元的加密貨幣從跨鏈橋被黑客竊取,涉及 13 次攻擊.
1900/1/1 0:00:00區塊鏈行業存在一個“不可能三角”問題,即安全、可擴展性、去中心化,只能犧牲其中一個去實現另外兩個.
1900/1/1 0:00:00作者|阿華出品|白話區塊鏈(ID:hellobtc)我們在選擇數字貨幣交易平臺進行交易時,最先要考慮的就是平臺的安全性和交易深度了,一般來說,世界排名靠前的交易平臺都符合這兩個特性.
1900/1/1 0:00:00在關于區塊鏈的很多文章中,經常會看見區塊鏈在某個區塊高度發生分叉,那究竟什么是區塊高度,為什么在某個區塊高度會發生分叉呢?今天大白就和大家來聊聊區塊高度的那些事兒.
1900/1/1 0:00:00