BTC/HKD-1.97%
ETH/HKD-1.12%
LTC/HKD+0.73%
ADA/HKD-1.29%
SOL/HKD-3.69%
XRP/HKD-1.29% 
摘要
比特幣是一個完全地點對點的改進版電子現金,將支持一方直接發送給另外一方的在線支付方式,而無需通過金融機構。“數字簽名”提供了部分解決方案,但如果還是需要一個被信任的第三方來防止“雙重支付”,則喪失了其關鍵價值。我們提出的“雙重支付”問題解決方案是使用“點對點”網絡。該網絡使用“hashing(哈希)”將交易打上“時間戳”,以此將所有交易合并為一個不斷延展的基于哈希的“工作量證明”鏈條,構成記錄。除非重建“工作量證明”,該記錄不可能被篡改。最長的鏈條不僅作為被目擊事件序列的證明,還該證明來自最大規模的CPU算力池。只要被節點所控制的大多數CPU算力沒有協同一致攻擊網絡,那么他們將生成最長的鏈條,超越攻擊者。此網絡本身只需極少的基礎設施。信息盡最大努力進行廣播,節點可以隨意離開或重新加入網絡,其離線期間所發生,由其接收最長的“工作量證明”鏈條即可驗證。

一、導言
互聯網商業,逐漸發展成為幾乎完全借助作為被信任第三方的金融機構來處理電子支付業務。然而,該系統即使目前運轉良好,足以應付大多數交易業務,但它還是受困于其固有的“基于信任模式”缺陷的問題。“完全不可逆交易”并非真正可行,原因是會導致金融機構不能避免地卷入爭端的調解。這種調解成本導致的交易成本增加,限制了可實現交易的最小規模,同時斷絕了日常小額交易的可能性,而且還有一種更為廣義的成本,即為不可逆服務而設計出來的不可逆支付能力將會減弱。伴隨著撤銷可能性的是信任需求擴張。商人們必須對他們的顧客保持戒備,由此,為了獲取更多的信息不斷煩擾顧客,遠超他們所需。甚至無可奈何地接受一定程度上的欺詐。,人們使用物理貨幣時,這些成本與支付的不確定能夠避免,但,沒有商家會通過一種沒有信任方的信息渠道進行支付。
因此,一種以建立在密碼學基礎上的證明來替代信任的電子支付系統,就很有必要,該系統允許任何有交易意愿的雙方直接相互交易,而不需要一個被信任的第三方。在計算上不可能撤銷的交易將保護賣方不被詐騙,常規的第三方中間商亦能夠輕松地實現對買方的保護。這篇論文里,我們提出一種雙重支付問題解決方案,就是使用一種點對點分布式時間戳服務器,以生成可計算的、按時間的前后順序排列的交易序列證明。只要誠實的節點共同控制的CPU算力,比協同操作的攻擊者節點集團更多,這個系統就是安全的。
數據:自 2 月以來,礦工已累積價值 6 億美元的比特幣:金色財經報道,盡管近期市場震蕩,但隨著比特幣全網算力提升,比特幣礦工似乎不愿出售他們的 BTC。根據鏈上分析提供商 Glassnode 分析顯示,隨著網絡算力繼續恢復,比特幣礦工正在積累BTC,他們目前持有的BTC余額仍在增加。在過去的六個半月內,與礦工相關的錢包儲存了 14,000 枚 BTC,價值約 6 億美元。Glassnode 在其分析報告中還指出,與之前的市場周期相比,在 2020 年和 2021 年牛市期間,礦工保留 BTC 使其獲得了更多回報。隨著比特幣網絡算力在2021年三季度恢復,礦工積累 BTC 的趨勢仍在繼續。(cointelegraph)[2021/9/21 23:40:34]

二、交易
我們規定電子貨幣等同于數字簽名鏈。每一位所有者轉移其電子貨幣給下一位,通過數字簽署一個哈希,這個哈希是前一個交易的,和下一個所有者的公鑰,和加在電子貨幣的末端。收款人能夠通過核對簽名來證明該鏈所有權。

問題當然就是收款人不能核實某個所有者沒有“雙重支付”該幣。普通的解決方案是引入一個被信任的中心權威,或鑄幣廠,以核對每一筆交易是否雙重支付。每筆交易完成后,貨幣必須回收到鑄幣廠以發行新幣,而且僅鑄幣廠發行的貨幣能夠被信任不會“雙重支付”。此方案的問題是整個貨幣系統的命運依賴于公司來運行鑄幣廠,導致每一筆交易不得不通過他們,就好象一家銀行。我們需要一種方式,來幫助收款人知曉前任所有者沒有簽署任何更早的交易。為了我們的目的,最早的一筆交易是重要的,這樣我們不必擔心后來者試圖“雙重支付”。證實一筆交易是否存在的唯一方式,就是使得所有的交易都是可知的。在基于鑄幣廠的模式里,鑄幣廠是所有交易的知情者,而且清楚哪一筆最先到達。沒有一個被信任方情況下,要達到這一點,交易必須公開廣播,如此,則我們需要一個系統,該系統可使參與者對他們接收到順序的單一歷史達成共識。收款人需要證明每一筆交易的時點,大多數節點承認該交易為最先被接收的交易。
三、時間戳服務器
比特幣重回40000美元上方 為1月14日以來首次:據火幣數據顯示,比特幣重回40000美元上方,為1月14日以來首次。行情波動較大,請注意風險控制。[2021/2/6 19:04:32]
我們提出的解決方案始于一種時間戳服務器。時間戳服務器通過從被時間戳記的項目區塊中提取哈希并廣泛地傳播該哈希來運轉,類似在報紙上或在全球新聞網絡發郵件。該時間戳驗證數據在某一時點確實存在,顯然,目的是加入到哈希中。每一個時間戳都包括前一個被加入到哈希中的時間戳,形成一個鏈條,因為每一條追加的時間戳補充其前一個時間戳。

四、工作量證明
要在點對點的基礎上構建一個分布式時間戳服務器,我們將需要用到與亞當貝克創造的“哈希現金”類似的“工作量證明”系統,而不是報紙或全球新聞網絡郵件。在進行哈希計算時,該“工作量證明”引入對于某一個值的檢索工作,比如運行SHA-256,該哈希值從某一數量的0字符開始。其所需的平均工作量是所需0字符數量的指數,而則能通過僅僅執行一次哈希計算來檢驗。對于我們的時間戳網絡,我們在區塊中某一隨機數,給定的區塊哈希值所需的零字符串,直到找到一個值為止,以構建“工作量證明”機制。只要CPU算力被消耗在滿足“工作量證明”機制上,則區塊不能被修改,除非重新進行工作。由于下一區塊鏈接其后,修改區塊的工作量必須包括重建其后面的所有區塊。

“工作量證明”機制也解決了代理作出大多數判斷的人選確定問題。如果該“大多數”建立在“一個IP地址一張選票”的基礎上,它將被破壞,因為每一個人都能夠分配到很多IP。“工作量證明”實質上是“一個CPU一張選票”。最長的鏈條代表大多數判斷,因為該鏈條擁有嘗試投入進來的最大量“工作量證明”。如果CPU算力的大多數由誠實的節點控制,誠實的鏈條將以超過其他與之競爭鏈條的速度快速生長。為改變一個已完成區塊,一個攻擊者將被迫重建區塊“工作量證明”,以及所有后接區塊,然后追上,超過誠實節點的工作量。我們稍后將提及,由于隨后區塊持續增加,一個稍慢的攻擊者追上的概率以指數級減少。隨著時間的推移,計算機硬件速度的持續加快和運行節點的興趣變化無常,為了應對上述情況,“工作量證明”機制的難度通過一種以設定每一小時產生區塊的平均數量為目標的動態平均來調節,如果增長太快,難度將增加。
彭博社:比特幣價格走勢并未達到預期 投資者轉向傳統股票市場:6月16日消息,近日彭博社發表最新分析文章稱,在冠狀病疫情期間,比特幣的價格走勢并沒有達到人們的預期,并沒有成為數字黃金。與此同時,比特幣價格與傳統股票市場的關聯度比許多專家預測的要高得多。不僅如此,近期許多投資者又開始轉向傳統股票,尋找波動性和資產價格走勢。(Decrypt)[2020/6/16]
五、網絡
運行網絡的步驟如下所示:
1)新的交易向所有的節點廣播。
2)每一個節點將新的交易納入一個區塊。
3)每一個節點努力為自己區塊尋找一個具有一定難度的“工作量證明”。
4)當一個節點找到了“工作量證明”,它向所有節點廣播該區塊。
5)當且僅當區塊里面的所有交易有效且之前從未發生時,節點才接受該區塊。
6)節點通過追加鏈條中的下一區塊的工作以表示其對區塊的接受,使用該被接受區塊的哈希作為前置哈希。
節點總是把最長的鏈條視為正確,并將持續延長該鏈條。如果兩個節點在同一時點廣播的下一區塊描述并不一致,一些節點會率先接受其中一個或另一個區塊。在此情況下,他們工作于率先被他們接受的區塊,但保存另外分叉以防其變得更長。當下一個“工作量證明”被找到,以及一個分叉變得更長時,這種“平局”將被打破;工作在其他分叉上的節點最后將轉到這個較長的區塊。
新交易的廣播并非一定需要到達所有的節點。只要他們到達多數節點,他們將在短時間內被納入一個區塊。區塊廣播亦對缺失的信息具有容錯功能。如果一個節點沒有收到某個區塊,它將在接收下一區塊,且意識到缺失了一個區塊時,提出請求。

六、激勵機制
根據規則,區塊里的第一筆交易是一筆特殊交易,該交易產生一枚歸屬于區塊創造者的新幣。這將增加節點支持網絡的激勵,并且提供一種方式來開始貨幣分配并進入流通,因此這是一種沒有中心機構的發行方式。這種新貨幣數額持續穩定的增長類似于黃金礦工耗費資源來增加黃金流通。.就我們來說,這類資源就是被耗費CPU時間和電力。
此類激勵亦可見于交易費用。如果一筆交易的輸出值低于其輸入值,其差額就是交易費,用以增加控制交易區塊的激勵價值。一旦一個預先設定的貨幣數量已經進入流通,該激勵則全部轉變為以交易費用,并可完全地免除通貨膨脹。
聲音 | 摩根溪創始人:比特幣哈希率數據是一種估計,不應指望其在短時間內能獲得準確性:摩根溪創始人Anthony Pompliano發推稱,昨天所有人都在為比特幣的哈希率下降而尖叫,今天已經恢復了。正如許多人提到的,哈希率數據是一種估計,不應該指望在短時間內,固定的時間內能獲得準確性。[2019/9/25]
該激勵還能有助于促使節點保持誠實。如果一個貪婪的攻擊者有能力比誠實節點組織更多CPU算力,他將被迫進行選擇,是通過欺詐以偷回其支付的款項,還是通過生成的新貨幣。他應當會發現,按照規則行事更加有利可圖,這樣的規則有利于他比其他聯合起來的每一個人獲取更多的新貨幣,亦優于破壞系統以及損害自己擁有財富的有效性。
七、恢復磁盤空間
一旦一枚貨幣中的最后一筆交易被納入了足夠多的區塊中,則能丟棄之前那些失效的交易以節省磁盤空間。為確保同時不破壞區塊哈希,交易被隨機散列在一棵“梅克爾樹”上,僅僅將其“根節點”置入該區塊哈希中。只需剪除此樹的其他分枝,先前的區塊則能夠被壓縮。內置的哈希無需保存。

一個不含交易的區塊首部大約是80字節。如果你希望在每10分鐘左右生成一個區塊,則每年約4.2MB(80B×6×24×365=4.2MB)。鑒于計算機系統在2008年通常以隨機附帶2GB存貯空間出售,而且摩爾定律預示現在的增長速度是1.2GB每年,則即使區塊首部必須永久保存,存貯亦不成問題。
在不運行覆蓋全網全部節點情況下,支付驗證也是可能的。用戶僅需保留一個最長“工作量證明”鏈條的區塊首部備份,由此,他能夠通過質詢網絡中節點,直到他確信擁有最長的區塊鏈,從而達到通過“梅克爾樹”分支將交易連接到被打上了時間戳的區塊的目的。他無法自行檢查交易,但通過連接到鏈條的某一位置,他能夠看到一個網絡節點已經接受了該筆交易,而且,在之后的追加區塊,進一步證實了這個網絡已經接受了該筆交易。
八、簡化的支付驗證

此時,只要誠實節點控制網絡,則驗證是可靠的,但是,如果該網絡被攻擊者壓服,則非常容易遭受攻擊。雖然網絡節點能夠自己驗證其交易,只要該攻擊者能夠繼續壓制該網絡,簡易方法將被攻擊者偽造的交易所愚弄。必須采取一種針對性保護策略,以接收當網絡節點發現無效區塊時發出的報警信號,并提示用戶軟件下載整個區塊及被報警交易,以確認其不一致。出于更加自主的安全保障和更快的驗證考慮,接受大量日常頻繁支付的商業機構很可能仍然希望運行他們自己的節點。
動態 | BK資本創始人:星巴克與美國洲際交易所的合作為比特幣ETF鋪平道路:據CNBC報道,BK資本創始人兼CEO Brian Kelly今日表示,現在的加密貨幣市場是完全被低估了的。星巴克與美國洲際交易所(ICE)的合作是今年最大的新聞。Kelly表示,首先這為比特幣ETF鋪平道路。第二,這是比特幣期貨以來最好的消息。[2018/8/4]
九、價值的合并與分割
盡管處理單個貨幣是可以的,但為了一次轉讓中的每一個貨幣而將一筆交易分割開來,將會變得很不便利。為允許價值進行分割和合并,交易包括多次輸入及輸出。通常地,要么是一個來自前一筆更大交易的單一輸入,要么是合并了更小金額的多次輸入,輸出則至多只有兩筆:一筆用來支付;另一筆找零。

這時需要注意的是輸出端,那里一筆交易依賴于多個交易,這些多個交易又依賴于更多的交易,這并無問題。從來不需要提取一個完全獨立的交易歷史備份。
十、隱私
傳統的銀行業務模式通過限制關聯方獲取數據入口和被信任的第三方來構建隱私等級。公開廣播所有交易的必要性阻礙了這種方法施行,但是隱私還是可以通過在其他地方隔斷信息流來保證:使用匿名持有的公鑰。公眾可以看見某人支付某金額給另外一人,但沒有信息將此交易連接到任何人。這與股票交易所發布信息的方式類似,那里個人交易的時間和規模,即“報價”,是公開的,但不會告訴誰是交易方。

作為一個補充防火墻,一對新的鑰匙被用于每一筆交易,以阻止他們連接到一個普通的所有者。有些連接還是不可避免,原因是多次輸入的交易,必然會泄露出他們的輸入來自相同的所有者。真正的危險是如果所有者的私鑰被泄露,連接將會泄露屬于此同一所有者的其他交易。
十一、計算
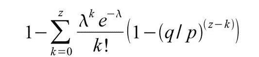
我們設想一個場景:一個攻擊者試圖比誠實鏈條更快地生成一個替代鏈條。即使其技術高超,還是無法做到突然侵入系統隨心所欲地篡改,諸如無中生有地創造價值或者掠奪從未歸屬于他的財富等。節點將不會接受一筆無效的交易作為支付,而且,誠實的節點亦將不接受包含該無效交易的區塊。一位攻擊者僅能試圖篡改一個他自己的交易,以收回最近消費的金錢。誠實鏈條和攻擊者鏈條之間的競賽可以描述為“二叉樹隨機漫步”。成功事件為誠實鏈條延展一個區塊,則增加領先,是為“+1”;失敗事件則是攻擊者的鏈條延展一個區塊,則縮減差距,是為“-1”。攻擊者從一筆給定的虧損迎頭趕上的概率與“賭徒破產問題”類似。假設一個賭徒,擁有無限透支信用,從一筆虧損開始,可以進行無限次數的測試以試圖達到盈虧平衡點。我們能夠計算他可能達到盈虧平衡點,或者攻擊者趕上誠實鏈條的概率,如下所示:
p=誠實節點找到下一區塊的概率
q=攻擊者找到下一區塊的概率
qz=攻擊者在Z區塊后趕上的概率

我們給定一個假設,p>q,隨著攻擊者不得不趕上的區塊數量不斷增長,其概率呈指數級下降。由于勝算與其相悖,如果他無法幸運地在早期取得突飛猛進,則將被遠遠地甩在后面,他篡改將變得微乎其微。我們現在考慮在充分確定付款人不能修改交易之前,此筆新交易的收款人需要等待多長時間。我們假設這位付款人是攻擊者,他想讓收款人相信當時已經支付了,過一段時間后,將其改換為支付給他自己。事情發生時,會驚動收款人,但這個付款人希望是為時已晚。收款人生成一對新的密鑰,將公鑰給予付款人,并在簽署前預留較短時間。如此將阻止發生:付款人通過連續不斷地工作,提前準備區塊鏈,直到他非常幸運地到達足夠遠的前方,,然后執行該交易。一旦該交易發送,不誠實的付款人在一條包含一項他的交易替代版本的并行的鏈條上秘密開始工作。收款人等到該筆交易已經納入了一個區塊,且已有Z個區塊連接在后。他并不知道攻擊者已經制造增長的確切數量,但假設誠實區塊在每一區塊上預期耗費的時間的均等,攻擊者區塊潛在增長將呈“泊松分布”,期望值為:

為了獲取攻擊者追趕上的概率,我們將攻擊者取得進展區塊數量的泊松分布的概率密度,與在該數量下攻擊者依然能夠追趕上的概率相乘:

轉換為以下形式,以避免無窮數列求和……

轉換為C語言代碼……

運行結果,我們能夠看到概率Z值呈指數級下降。求解,令P少于0.1%時的Z值……


十二、結論
我們提出一個無需借助信任的電子交易系統。我們一開始,基于數字簽名生成貨幣的普通框架,提供強有力的所有權控制,但無法完全防止“雙重支付”。為解決此問題,我們提出一種點對點網絡,運用“工作量證明”來記錄一個公共的交易歷史,對攻擊者來說,如果大多數CPU算力由誠實節點控制的,則篡改很快變成在計算上是不可實現的。該網絡因其簡單隨意的拓撲結構而粗壯皮實。節點只需很少的協調即可協同工作。他們無需辨認,因為信息無需路由到某些特定區域,僅需盡最大努力傳播即可。節點能夠隨時離開和重新接入網絡,其離線期間所發生所有交易,由其接收“工作量證明”鏈條即可驗證。他們以CPU算力投票,并以努力延展有效區塊和拒絕在無效區塊后延展方式來表達他們的意見,即是否接受某區塊的意見。通過這種共識機制,任何必需的規則和激勵都能夠被強制執行。
參考文獻
W.Dai,《B幣》,http://www.weidai.com/bmoney.txt,1998年。
H.Massias,X.S.Avila,andJ.-J.Quisquater,《只需最小信任的安全時間戳服務器設計》,比荷盧經濟聯盟第二十屆信息理論學術報告會,1999年5月。
S.Haber,W.S.Stornetta,《如何對數字文件進行時間戳記錄》,《密碼學期刊》,1991年第2期,第99-111頁。
D.Bayer(拜爾),S.Haber,W.S.Stornetta,《提升數字時間戳的效率和可靠性》,《序列二:通訊安全及計算機科學之理論》,第329-334頁。
S.Haber,W.S.Stornetta,《字符串安全命名》,國際計算機學會第四屆年會關于計算機和通訊安全的會議記錄,第28-35頁,1997年4月。
A.Back,《哈希現金——拒絕服務攻擊之反制方案》,http://www.hashcash.org/papers/hashcash.pdf,2002年。
R.C.Mekle,《公鑰密碼系統協議》,電子與電氣工程師學會,1980年安全與隱私學術報告會會報,第122-133頁,1980年4月。
W.Feller,《概率論及其應用介紹》。
Tags:CPU區塊鏈比特幣CPU幣CPU價格區塊鏈工程專業學什么區塊鏈存證怎么弄區塊鏈技術發展現狀和趨勢比特幣中國官網聯系方式40億比特幣能提現嗎比特幣最新價格行情走勢
Learningwithoutthoughtislabourlost,thoughtwithoutlearningisperilous.學而不思則罔,思而不學則殆.
1900/1/1 0:00:00MACD是很常用的技術指標,它是英文MovingAverageConvergence/Divergence的首字母縮寫,意思是“移動平均線間距離的縮小或擴大”,中文常譯作“平滑異同移動平均線”.
1900/1/1 0:00:002020USNews世界大學排名;2020QS世界大學排名;2020軟科世界大學學術排名;2020泰晤士高等教育世界大學排名,西班牙所有學校中它排第一,對.
1900/1/1 0:00:00“把日期往后推兩個月,OP_EVAL還沒有準備好。”這是GavinAndresen竭力想避免的意見,隨著RussellO’Connor通過鍵盤打出一段指責語后,長達數月之久的比特幣升級努力,在實.
1900/1/1 0:00:00北緯客摘要: 其實北緯客小編一直發現許多熱衷泰國的投資者都有個比較錯誤的觀念,就是都認為泰國的房子都應該是白菜價的!可是小編不得不告訴你.
1900/1/1 0:00:00前些天,由于馬老師的高調,螞蟻金服變成了"馬已經服",然后漫哥就看到了各種吐槽馬老師割韭菜的文章.
1900/1/1 0:00:00