BTC/HKD-0.36%
ETH/HKD+0.23%
LTC/HKD+0.79%
ADA/HKD+0.28%
SOL/HKD-0.73%
XRP/HKD-0.01%品數學探真滴
筆記整理七年級下冊第四章第一節三角形

二、三角形內角和的應用
3、如圖3,猜想∠A、∠B、∠C、∠D之間的關系,并說明理由。

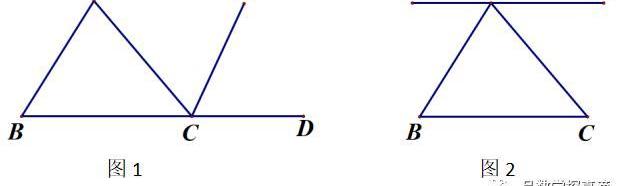
4、如圖4,猜想∠B和∠D之間的關系,并說明理由。
5、如圖5,猜想∠B和∠C之間的關系,并說明理由。

美國第四季度核心PCE物價指數年化季率初值錄得3.9%:金色財經報道,美國第四季度核心PCE物價指數年化季率初值錄得3.9%,為2021年第一季度以來新低。[2023/1/27 11:31:30]
6、如圖6,猜想∠A和∠D之間的關系,并說明理由。

三、直角三角形
7、如圖7,∠BAC=90°,AD⊥BC,找出圖中所有相等銳角并說明理由。

JuggerSWAP 即將開啟第四個LP質押池:官方消息,dJGN DAO系統投票做出決定,北京時間2022年4月22日晚9點JuggerSWAP 正式開啟第四個LP質押池。
用戶在 PancakeSwap 上為 JGN/BNB 對增加流動性,并將自己的 LP 代幣質押在JuggerSWAP 池中。共60天,30天后進行獎勵減半。前30天的獎勵為每天 8000 JGN。減半后,每天獎勵4000 JGN。總獎勵為360,000 JGN。
當前JGN已經獲得高盛集團(CA)、AVAX亞洲基金(AVATAR)、幣安 “種子基金”、軟銀集團(UK)、LD Capital等多家機構戰略投資。[2022/4/21 14:39:37]
8、已知OC⊥OD,CE⊥AB,DF⊥AB,
瓦特合約HyperFutures投票上幣第四期正式啟動:據官方消息,瓦特合約已于11月2日14:00正式開啟HyperFutures投票上幣第四期,瓦特合約將根據投票結果確定上線幣種。
本次投票上幣產品為瓦特全幣種合約,全幣種合約是以BTC指數價格為合約標的,代幣為交易保證金,代幣投入、代幣結算的合約產品。
熱門幣種GIA也參與了本次投票上幣活動,GIA全稱免疫力幣,是基于區塊鏈、人工智能、物聯網等技術,實現智慧價值鏈 ,是一種點對點傳輸的數字加密貨幣。詳情見官網公告。[2020/11/2 11:26:44]
如圖8,當線段OC,OD在線段AB的同側,請找出圖中所有相等銳角并說明理由。
如圖9,當線段OC,OD在線段AB的異側,請找出圖中所有相等銳角并說明理由。
Gate.io已開啟投票上幣第四十八期cVault.finance(CORE):據官方公告,Gate.io已于10月14日(今日)中午12:00開啟第四十八期投票上幣項目cVault.finance(CORE),投票結束時間為10月15日(明日)上午10:00。在本輪投票中,CORE如獲得1000萬票,Gate.io將上線CORE對USDT交易,參與投票的用戶均可分享1 CORE空投獎勵。詳情見原文鏈接。[2020/10/14]

未完待續······
●4.5 多邊形和圓的初步認識——疫情下的網絡教學●4.5《多邊形和圓的初步認識》習題講解●5.1《一元一次方程》新課與習題講解●5.1.2等式的基本性質●5.2求解一元一次方程——移項和去括號●5.2.3去分母解一元一次方程●5.3一元一次方程的應用——水箱變高了●5.3一元一次方程的應用——水箱變高了●5.3一元一次方程的應用——水箱變高了●5.4應用一元一次方程——打折銷售●5.4應用一元一次方程——打折銷售●5.4應用一元一次方程——打折銷售●5.5 應用一元一次方程——“希望工程”義演●5.6應用一元一次方程——追趕小明●5.6應用一元一次方程——追趕小明●5.6應用一元一次方程——追趕小明●6.1數據的收集●6.1數據的收集●6.1數據的收集與方程復習●6.2普查與抽樣調查●6.3 數據的表示第1課時扇形統計圖●6.3 數據的表示第2課時頻數直方圖●2018-2019學年北師版七年級數學上冊單元測試卷第五章一元一次方程●2018-2019學年北師版七年級數學上冊單元測試卷第五章一元一次方程●6.3 數據的表示●6.3數據的表示習題講解●6.4 統計圖的選擇●6.4 統計圖的選擇●6.4 統計圖的選擇習題講解●2022-2023學年第一學期期末試卷及答案●2022-2023學年第一學期期末試卷續●2022-2023學年第一學期七年級上冊數學期末評估卷及答案●2020年—2021年太原市知達常青藤中學七年級第一學期12月調研數學試卷及答案●2021-2022學年第一學期七年級上冊數學期末卷及答案●2021-2022學年第一學期七年級上冊數學期末卷及答案●2020-2021學年第一學期七年級上冊數學期末卷及答案●三角板的旋轉問題——角的計算●一元一次方程的等積変化問題●山西省2022-2023學年第一學期七年級上冊數學期末卷及答案●七上數軸上的運動問題●冪的運算●第一章整式的乘除
●1.1利用迭代功能構造中點三角形●1.2利用迭代功能畫方格●1.3利用迭代功能畫希爾賓斯基三角形●1.4利用迭代功能實現x到x+5的迭代●1.5利用迭代功能畫圓內接正n邊形●1.6利用迭代功能畫科克曲線和雪花曲線●1.7利用迭代功能進行分形樹的繪制(1)●1.7利用迭代功能進行分形樹的繪制(2)●2.1利用動畫功能制作描圖器●2.2利用動畫功能展示雷達掃描效果●2.3利用動畫功能展示圓的形成過程●2.4利用動畫功能展示橢圓的形成過程●2.5利用動畫功能展示迭代圖像的動畫效果●案例一:畫矩形●案例二:畫平行四邊形●案例三:畫線段垂直平分線●案例四:畫等腰三角形●案例五:畫相切的兩圓●案例六:畫等邊三角形●案例七:畫太陽、地球和月亮●案例八:畫太陽、地球和月亮●案例九:旋轉的大風車●案例十:點動成線、線動成面、面動成體●案例十一:系列按鈕制作圖案生成效果●案例十二:動態顏色的使用●案例十三:制作彩輪●案例十四:制作動畫彩輪●案例十五:制作含有三個參數的動畫彩輪●案例十六:制作調色板●案例十七:給圓柱體加上金屬色澤●案例十八:制作投硬幣游戲●案例十九:創建計數器工具●幾何畫板微視頻1:汽車追火車問題●幾何畫板微視頻2:追趕小明●幾何畫板微視頻3:折返相遇問題●幾何畫板微視頻4:等可能事件的概率——投硬幣試驗●幾何畫板微視頻5:等可能事件的概率——投骰子試驗●幾何畫板微視頻6:等可能事件的概率——設計轉盤游戲●分類討論思想在折返相遇問題的應用●線段中的運動問題
在過去的幾年里,元宇宙已經成為一個熱門話題,用戶對它可能帶來的新功能和機會感到興奮。但是,就像大多數技術一樣,網絡犯罪分子已經找到了利用元宇宙用戶的方法.
1900/1/1 0:00:00以太坊「上海升級」硬分叉今日清晨已經在主網上正式執行,這代表驗證者終于可以提領他們被質押的以太幣。截至寫稿時,以太幣下跌0.58%至1,907.47美元.
1900/1/1 0:00:00每個人心中美好的愿望都不應該被輕視,把它銘刻在比特幣網絡中,精神不滅,靈魂永生,是一件多么炫酷的事情.
1900/1/1 0:00:00來源:中集車輛 2023年4月26日晚間,全球領先的半掛車與專用車高端制造企業、中國道路運輸裝備高質量發展的先行者、中國新能源專用車領域的探索創新者中集車輛,發布2023年一季度報告.
1900/1/1 0:00:00界面新聞記者|司林威 和以太坊相比,以“數字黃金”為愿景的比特幣在區塊鏈技術更新上近年已趨于平靜,不過近期比特幣社區迎來近年來技術討論的最熱時刻.
1900/1/1 0:00:00封面新聞記者朱寧 近日,幣圈發生了一系列重大事件,其中最引人關注的是加密貨幣大佬BobLee被刺身亡的消息。此外,趙長鵬、孫宇晨等多位幣圈人士也被起訴,引起廣泛關注.
1900/1/1 0:00:00