BTC/HKD-0.44%
ETH/HKD-1.55%
LTC/HKD-1.05%
ADA/HKD-2.29%
SOL/HKD-1.66%
XRP/HKD-1.56%最近DeFi行業中Uniswap的異軍突起引發了市場的關注。這是一個有趣且潛力巨大的DEX項目,在過去的一周,Uniswap的日均交易量邁過了1億美元的大關,而在3個月前這一數值僅僅為1百萬美元。為此很多市場分析人士認為以Uniswap為代表的去中心化交易所在未來將代替目前的主流交易所。然而事實真的如此嗎?
資料來源:Uniswap官網
我第一次關注Uniswap是在今年年初,主要被其簡潔的經濟模型所吸引:
LBank藍貝殼于4月9日16:50首發 BOSON:據官方公告,4月9日16:50,LBank藍貝殼首發BOSON(Boson Protocol),開放USDT交易,4月9日16:00開放充值,4月12日16:00開放提現。上線同一時間開啟充值交易BOSON瓜分10,000 USDT。
LBank藍貝殼于4月9日16:50開啟充值交易BOSON瓜分10,000 USDT。用戶凈充值數量不少于1枚BOSON ,可按凈充值量獲得等值1%的BOSON的USDT空投獎勵;交易賽將根據用戶的BOSON交易量進行排名,前30名可按個人交易量占比瓜分USDT。詳情請點擊官方公告。[2021/4/9 20:02:26]
其中x是第一種數字貨幣的數量,y是第二種數字貨幣的數量,k是一個恒定的常數
首發 | imKey正式支持Filecoin,成為首批Filecoin硬件錢包:12月1日,隨著imToken2.7.2版本上線,imKey同步支持Filecoin,成為業內首批正式支持FIL的硬件錢包。Filecoin作為imKey多鏈支持的優先級項目之一,成為繼BTC、ETH、EOS和COSMOS四條公鏈后的第五條公鏈。
據悉,imKey團隊已在Q4全面啟動多鏈支持計劃,計劃實現imToken已經支持的所有公鏈項目,本次imKey升級更新,無需更換硬件,不涉及固件升級,通過應用(Applet)自動升級,即可實現imKey對Filecoin的支持及FIL的代幣管理。[2020/12/2 22:52:32]
這個公式有一種獨特的數學之美,正如牛頓的萬有引力公式,愛因斯坦的質能方程,雖然都是一個簡潔的公式,但卻打開了新時代的大門。
首發 | 《一起來捉妖》中玩家達到22級將會接觸到專屬貓的玩法 ?:今日騰訊上線首款區塊鏈游戲《一起來捉妖》,經金色財經查證,游戲中玩家達到22級將會接觸到專屬貓的玩法,而非此前官方對外宣稱的15級。除了誘貓鈴鐺召喚出的0代貓以及部分通過運營活動獎勵的專屬貓以外,游戲中所有的貓默認都是未上鏈狀態。未上鏈的貓不能出售,也無法進入市場與其他玩家配對;但是你可以使用這些貓與你的QQ/微信好友進行配對,產出新的小貓。使用道具“天書筆”可以將你的貓記錄到區塊鏈。當貓被記錄到區塊鏈以后,這些貓就可以進入市場,通過配對賺取點券,或者出售賺取點券。專屬貓是否上鏈,并不影響它的增益效果。但只有上鏈后,它才能面對全服務器所有的玩家進行繁殖、交易。
?
《一起來捉妖》中的專屬貓玩法,基于騰訊區塊鏈技術,游戲中的虛擬數字資產得到有效保護。此外,基于騰訊區塊鏈技術,貓也可以自由繁殖,并且運用區塊鏈技術存儲、永不消失。[2019/4/11]
具體而言,我們在過去進行加密貨幣交易時,都依賴訂單薄模式,即交易者需要將自己的訂單提交至訂單薄(Order?Book)上,隨后進行撮合并完成交易,流程復雜,對系統的技術要求極高;而Uniswap則采用了一種全新的交易模式---利用儲備金流動性來完成加密貨幣的交易兌換,以此實現了自動做市場商(Automated Marker Maker)。
首發 | 螞蟻礦機S17真機圖首次曝光 采用雙筒風扇及一體機設計 ?:繼正式宣布在4月9日現貨銷售后,比特大陸即將發布的新品螞蟻礦機S17又有了新動態。據悉,螞蟻礦機S17真機圖今天在網上首次曝光。
從曝光的圖片來看,螞蟻礦機S17延續上一代產品S15的雙筒風扇設計,且采用一體機的機身設計。有業內人士認為,采用雙筒設計可有效縮短風程,礦機出入風口的溫差變小,機器性能將得到很大改善。
此前比特大陸產品負責人在接受媒體采訪時表示,新品S17較上一代產品相比,無論是在能效比還是單位體積的算力等方面,均有較大提升。[2019/4/3]
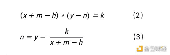
我們以Uniswap中ETH和ERC20代幣交易為例。公式x*y=k中,x、y分別是ETH和一種ERC20代幣的數量,而k是一個常數。x,y和k的初始值由流通性提供者確定,因為ETH和ERC20代幣之間的匯率P =?x / y,所以在確定x和y初始值的同時,也確定了匯率P的初始值。
假如一個交易者想用m個ETH購買一定數量的ERC20代幣,為此他需要向Uniswap交易合約的ETH資金池發送m個?ETH,交易費用為h。為了保證k值不變,那么智能合約需要向投資者支付n個ERC20代幣,即
?公式(3)即決定了支付給交易者的ERC20數量n。
從圖像上看這一交易過程更為簡潔:因為k是一個固定的常數,所以兩種代幣的數量x和y只能在下圖中的反比例函數圖像上運動。開始時(x,y)在圖中的a點,當交易者向智能合約打入A代幣時,(x,y)的坐標來到b點;為了使(x,y)在反比例函數圖像上運動,必須減少B代幣的數量,隨后(x,y)運動到了新位置C,并完成交易。

從上面的交易流程我們可以發現,Uniswap完全不需要訂單薄,且沒有交易撮合這一過程,僅僅是一個簡單的數學公式(3)即可實現交易的完成。如此簡潔的一個公式,卻顛覆了傳統的交易模式,讓人贊嘆不已。
然而,即便我對Uniswap的數學美感不惜吝嗇之詞,卻也不得不遺憾地說,Uniswap很難取代目前的主流交易所。正如西方諺語中所說的:“A coin has two sides”,Uniswap簡潔的數學模型在給它帶來種種優勢的同時,也為其未來發展埋下了種種隱患。
首先,Uniswap的交易深度不足,無法支持大額交易。交易深度是衡量一家交易所優劣的重要指標之一,反映的是市場在承受大額交易時價格不出現大幅波動的能力。正如前文所分析的那樣,如果不考慮交易費用,那么Uniswap的成交價格為P?= n/m。


其次,Uniswap無法獨立定價,必須依附于主流交易所。Uniswap舍棄了訂單薄模式,即舍棄了“價格優先”的交易原則,無法捕捉到市場的最新交易價格。為此,Uniswap不得不引入套利機制:一旦Uniswap上的價格與市場公允價格不同,就會出現套利空間,并將價格拉回正軌。這注定了Uniswap永遠無法成為主流交易所,否則套利機制將失靈,交易保證按正常價格執行。
Tags:SWAPUniswapUNISONRobustSwap Tokenuniswap幣排行Luniversesimpson幣今日消息
DeFi很火。最新數據顯示,DeFi中鎖定的代幣總市值已經突破35億美元。Yearn Finance是最新的DeFi寵兒,其YFI代幣正獲得大量關注.
1900/1/1 0:00:00金色財經聯合DappBirds獨家發布「DeFi Data」最新數據周榜。金色晨訊 | 8月18日隔夜重要動態一覽:21:00-7:00關鍵詞:灰度、幣安宕機、USDT增發、鏈上交易量 1.CM.
1900/1/1 0:00:00剛剛BTC上演天地針,短線漲至12150美金附近再大幅回落,短短5分鐘,價格直線跳水至10500美金附近再回升至目前11300美金上方,其余主流幣也是同步下插針,區間最大振幅超過13%.
1900/1/1 0:00:00近來,一些讀者朋友留言,入職新單位后,公司把工資分成兩部分發,一部分是現金,另一部分是各類虛擬幣。且新浪財經里的新聞報道也提到:北京市第三中級人民法院曾就某區塊鏈公司與員工的勞動爭議案進行判決.
1900/1/1 0:00:00吳說區塊鏈獲悉,為解決“最大的問題——錢”,詹克團正在籌備賣掉比特大陸此前購買的辦公樓。該辦公樓位于中關村集成電路設計院,總計一棟大樓、四棟小樓.
1900/1/1 0:00:00寫在前面:牛市都來了,不會點炒幣技巧真是耽誤賺錢! 大家好,我們是張姨楊姨 兩個區塊鏈從業 本期看點: 剛送走高考,又要迎來幣考!Damus v1.4.0已在蘋果App Store上架.
1900/1/1 0:00:00