BTC/HKD-2.02%
ETH/HKD-1.73%
LTC/HKD-1.96%
ADA/HKD-2.62%
SOL/HKD-1.32%
XRP/HKD-1.75%原文作者:MofiTaiwo
EIP-4844正在獲得更多的關注度,憑借其開發、模因以及社區支持,EIP-4844有望成為以太坊的下一次重大升級。但它到底是什么?簡而言之,它是一種新的事務類型,這使得在L1上可以容易地編寫廉價且短暫的數據。以blob表示的數據依賴于一些漂亮的新密碼學,以確保它在足夠長的時間內可供L2使用。關于這一主題有很多的資源?。在這篇文章當中,我們將介紹推動EIP-4844的整體努力。

EIP-4844發展史
EIP-4844最初是ETHDenver2022大會期間的一個黑客馬拉松創意,我們團隊的protolambda、Prysm的terencechain以及其他幾個人創建了早期原型。這涉及添加blob事務類型并實現保護blob所需的新crypto的geth分叉。
何一:Binance Web3錢包已在測試階段:6月4日消息,Binance 聯合創始人何一在社交平臺表示,Binance Web3 錢包已在測試階段,正持續增加多鏈功能。[2023/6/4 21:14:48]
EIP-4844真正進入開發是在今年春天晚些時候開始的,其直接目標是完全實現共識和執行客戶端原型。我們很早就知道,如果沒有以太坊社區的全力支持,將如此規模的EIP引入主網是不可能的。目前,我們距離目標硬分叉還有至少九個月的時間,而這段時間對于在測試網之前確定規范中的任何主要問題都至關重要。我們的第一個里程碑是在初夏通過EIP-4844的Prysm和geth分叉實現的。這是我們第一次擁有完全符合規范的執行和共識客戶端。
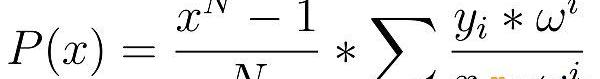
我們從該練習中學到了很多東西,包括規范需要更多細節的地方,如何降低實現的復雜性,以及性能問題的原因。我們仍在改進的一個值得注意的問題是驗證blob的速度。感謝以太坊基金會的研究人員,我們提出了一種幾乎被遺忘的70年代數學的新應用來更新規范,從而提高blob驗證的效率。Vitalik有在這里?寫到這一點。簡而言之,我們能夠使用以下公式攤銷昂貴的blob驗證成本:
韓國加密交易所Upbit將支持xCORE代幣空投:3月18日消息,韓國主要加密貨幣交易平臺Upbit宣布,將為$XRP代幣持有者提供最新的xCORE代幣空投支持。空投也適用于$SOLO代幣持有者。
在最近的一份聲明中,Upbit表示,空投將于3月24日進行,總共5000萬個代幣將平均分配給SOLO和XRP持有者。在快照時,持有人必須在其交易所余額中持有代幣才能參與空投。在快照前兩小時,交易所將暫停XRP和SOLO的存款和取款。
據悉,xCORE是一種期權代幣,執行期權價格為$CORE,是Coreum網絡的原生代幣,由Sologenic Development Fund建立,以滿足XRP Ledger無法滿足的Sologenic需求。[2023/3/19 13:12:40]

資深交易員Peter Brandt:比特幣價格到2024年才會出現新高:6月19日消息,資深交易員Peter Brandt表示,比特幣價格到2024年才會出現新高,到那時,比特幣將處于一個巨大的上升趨勢。“加密寒冬”的平均持續時間是4年。
據悉,Peter Brandt是預測比特幣價格將在2017年驟降的人之一,他經常將比特幣近期的價格走勢與2017年比特幣價格最高點的走勢進行比較。(Zycrypto)[2022/6/20 4:39:01]
一次社區合作
開發像EIP-4844這樣的關鍵升級需要眾多社區的技能與努力。我們與來自Coinbase、Prysm以及Worldcoin的開發人員聯手測試、實施和發布EIP-4844。第一個完全實現的EIP-4844開發者測試網是在EIP-4844社區電話會議上展示的,這為研究人員和開發人員提供了一個測試環境,以了解我們構建的內容。
DMM Bitcoin交易所正式上線TRX:據最新消息,日本知名加密貨幣交易所DMM Bitcoin正式上線TRX。
據悉,DMM Bitcoin成立于2016年,是日本大型證券公司DMM.com旗下子公司,目前支持19種杠桿交易和12種現貨交易,是全日本杠桿交易品種最多的交易所。[2022/6/15 4:28:46]
雖然社區電話會議很有幫助,但我們仍然缺少來自客戶端開發人員的關鍵反饋——尤其是考慮到EIP-4844的開發與合并是并行的。波哥大的DevconVI是EIP-4844的關鍵時刻,讓我們有機會與以太坊基金會的核心開發人員以及客戶端團隊展示以及討論該升級。我們發布了devnetv2,它實現了EIP-4844的最新規范,使客戶端開發人員有機會更熟悉該提案。Devnetv2還用于在ETHBogota黑客松期間構建Blobs瀏覽器。
多虧了由以太坊基金會主辦的幾次研發研討會,我們不僅能夠一起編寫代碼,而且我們還讓新的核心開發人員加入EIP-4844的開發。因此,我們制定了一個路線圖?,將EIP-4844納入下一次主網升級。
開發進展
在很長一段時間里,EIP-4844的開發過程大致如下:
實施規格
測試規范
根據測試結果更新規范
重復
由于規范不斷變化,開發者測試網是我們測試EIP-4844的主要手段,因為它們很容易啟動。現在規范已經基本完成,我們正將實現產品化,其中包括配置單元測試、tx模糊化、為客戶端互操作性提供測試向量以及測試網。我們的目標是讓客戶端開發人員更容易實現EIP-4844,并確信其實現符合規范。
EIP-4844涵蓋了共識和執行,因此其復雜性介于EIP-1559以及合并之間。此外,我們希望EIP-4844能與Shanghai硬分叉一起發布。這給了我們大約一個月左右的時間來準備一個功能齊全的EIP-4844測試網。最重要的是,這是在客戶端開發人員忙于為Shanghai硬分叉實施提款時發生的。自合并以來,客戶端開發人員一直專注于修復客戶端漏洞、清理代碼以及處理提款。我們現在有兩個非常重要的功能:提款以及EIP-4844,開發者同時在為下一次硬分叉開發它們。執行這一功能將是對以太坊社區效率和資源的真正考驗。
除了合并,EIP-4844可能是截至目前最大的社區領導工作。現在有這么多有才華的開發人員正在開發EIP-4844,我們可以實現這一目標。
一個Blobspace世界
一旦EIP-4844部署到以太坊主網,并且數據可用性被解鎖以供L2使用,我們預計rollupL1交易的成本將至少降低20倍。我們希望所有rollup都能夠利用blobspace來降低其用戶的交易成本。很高興看到以太坊社區將為Blob交易提供什么樣的應用。從“blobsplitters”到NFT元數據,EIP-4844將創建一組新的應用程序,這些應用需要在不影響安全性的情況下訪問廉價且可用的數據。
Tags:BLO以太坊比特幣BITKalima Blockchain比特幣最新價格行情以太坊實時行情比特幣實時行情比特范下載BitGet官方網站
1.引言 目錄 1.1尋找中本聰的方法 1.2可能帶來兩個康波周期的經濟成長1.3中本聰躺贏的日子到頭了奮斗的日子開始了 1.1尋找中本聰的方法 中本聰是誰這件事有許多人研究過.
1900/1/1 0:00:00數據可用性主要存在于輕客戶端節點相對全節點的語境下。對于輕客戶端節點的數據可用性問題,行業內已經達成共識——采用糾刪碼來解決.
1900/1/1 0:00:0011月7日,以太坊舊金山黑客松宣布13個獲獎項目,分別為mundo、FuelScape、BB3-BEEP3R、DAOCensus、melovault、Org3、UNIC、ZKSection9、D.
1900/1/1 0:00:00兩個知名足球粉絲代幣將迎來大幅解鎖、APT將有1000萬枚流通至市場、更多龍頭項目將進行線性解鎖.
1900/1/1 0:00:00嚴監管能否避免此類悲劇重演?FTX地震的余波正在一波波向全球蔓延。除了已知的FTX存在的80億美元資金缺口,受波及的還有與FTX和Alameda相關聯的100多家企業,FTX此前重金布局的廣告贊.
1900/1/1 0:00:00文:@TheChicagoVC多年來,加密社區一直在說“機構來了”……很長一段時間,我們都錯了。現在,在熊市的深處,越來越明顯的是,機構確實來了.
1900/1/1 0:00:00