BTC/HKD-2.81%
ETH/HKD-3.42%
LTC/HKD-3.19%
ADA/HKD-3.46%
SOL/HKD-2.76%
XRP/HKD-3.46%盡管過去十年中,區塊鏈技術在適應新用途方面創新迅速,但除了基本和高度抵押的形式,金融中介仍然難以找到。真正的區塊鏈原生金融應用的前進之路必須涉及現實世界身份信息的整合,以抑制違約行為的發生。本文討論了幾種可能實現此目的的技術,并得出結論,這種集成是可以實現的,而不需要犧牲假名,前提是真實世界的身份是可用的。
摘要
盡管過去十年中,區塊鏈技術在適應新用途方面創新迅速,但除了基本和高度抵押的形式,金融中介仍然難以找到。我們引入了技術前沿的概念,以劃定可以在假名代理(如區塊鏈)之間以算法結構化的各種交互,并表明,貸款和金融中介與貨幣交易不同,即使是以簡單形式存在,也不屬于技術前沿。因此,真正的區塊鏈原生金融應用的前進之路必須涉及現實世界身份信息的整合,以抑制違約行為的發生。我們討論了幾種可能實現此目的的技術,并得出結論,這種集成是可以實現的,而不需要犧牲假名,前提是真實世界的身份是可用的。
介紹
金融在現代資本主義經濟中發揮著關鍵作用。通過杠桿發行承諾支付貸款的能力,不僅促進了資金的有效流動,而且穩定了總體經濟活動。至少從1873年起,促進金融中介就被認為是國家貨幣的一項重要功能。如果加密貨幣要從國家貨幣手中接過重要的角色,它們就必須至少像國家貨幣現在所做的那樣。
加密貨幣基于被稱為區塊鏈的去中心化分類賬,這種技術允許不了解或不信任彼此的各方就規范分類賬狀態達成一致,從而在交易對手風險最小的情況下轉移資金,換句話說,以無信任的方式進行轉移。最近,該技術通過智能合約或去中心化自治組織(DAO)得到了增強,這是一種通過算法控制貨幣轉移的方式,而且可能完全不需要人工干預,同樣,目標是在不了解或不信任彼此的各方之間最大限度地降低交易對手風險。
盡管智能合約和DAO大大增加了無信任方之間可行的互動范圍,但迄今為止,金融資金的借貸除了以簡單和高度抵押的形式存在之外,一直是難以捉摸的。Harwick認為,杠桿融資帶來了不可減少的對手風險,對這種風險的管理要求借款人使用一個公開的、不可轉讓的身份。由于區塊鏈上的身份被假名和易于退出所掩蓋,也許,加密貨幣將無法與國家貨幣競爭,將有很高的障礙阻礙建立加密貨幣計價的信貸市場。
這個問題的解決方案可以從兩個方面進行,既不相互排斥:技術創新和制度創新。一個純粹的技術解決方案,如比特幣作為基礎貨幣,將構建借款人和貸款人之間的互動,使他們可以在不了解或不信任對方的情況下進行金融交易。這將是可能被稱為去中心化自主金融的圣杯。
直播| Dora > 以太坊2.0來了,我們能做些什么:金色財經 · 直播主辦的《 幣圈 “后浪” 仙女直播周》第8期20:00準時開始,本期“后浪”仙女HashQuark CMO Dora 將在直播間聊聊“以太坊2.0來了,我們能做些什么”,感興趣的朋友掃碼移步收聽![2020/7/7]
另一方面,原則上,任何用于中介法定貨幣的融資方法也適用于中介加密貨幣,只需將賬戶單位和贖回媒介改為加密貨幣,但在其他方面保留了傳統上用于管理金融交易中對手方風險的機構。這將是一個純粹的制度性解決方案,我們將許可區塊鏈的使用歸入這一類別。盡管區塊鏈資產作為媒介,但這種交易缺乏無信任、假名或去中心化的好處。因此,它們既被視為與區塊鏈精神格格不入,也尚未令人信服地展示出與現有金融形式相比的明顯優勢。然而,與純技術解決方案不同,通過與現狀的金融安排進行類比,解決交易方風險問題的制度解決方案的可行性至少是明確的。
本文從理論上確定了支持分權型自主金融的技術解決方案的局限性。如果純粹的DAF是不可能的,這也將表明最小的鏈下信息,特別是身份信息,對任何給定的金融技術的可行性是必要的。例如,加密貨幣的存在表明,在正常情況下,電子基礎貨幣和支付系統可以不受信任地管理。因此,基本貨幣和支付系統完全處于技術創新的前沿,也就是我們所說的技術前沿。另一方面,現代經濟目前依賴于許多技術之外的融資方法。這需要在技術創新的基礎上進行一定程度的制度創新。換句話說,區塊鏈的金融將需要發展鏈外規范和結構來補充區塊鏈的技術架構。在技術前沿領域,技術創新已被證明是許多制度形式的有力替代品。然而,在前沿之外,技術和體制創新必須繼續作為不可或缺的補充。
論述
激勵相容性和技術前沿
一個互動類型的激勵兼容性是在一個特定的環境中定義的。也就是說,其可行性取決于參與者的身份信息和戰略行動。如果一種互動類型在某種環境中為某一方提供了通過減少總回報來增加自己的回報的激勵,我們將說它有兩難的方面。困境方面可以通過改變環境來克服:例如,重復交易和外部執行是常見的補救措施。然而,如果人們要扮演相關的角色,可行性取決于以這種或那種方式克服它們。
我們將技術前沿定義為在一個環境中激勵相容的互動類型,這些交互類型在一個基于顯式算法規則的交互結構的環境中是激勵兼容的,并且沒有任何可信的外部信息或強制執行。首先,這將重新要求每個角色中的絕大多數用戶在任何時候參與的預期價值都是正的。根據假設,如果保持約束的預期價值低于零,用戶總是有放棄網絡并重新加入的外部選擇。因此,任何執行都被限制在用戶自愿提供的價值上。
聲音 | Weiss Ratings:比特幣的使用與傳統金融相比“微不足道”并不能代表什么:加密貨幣評級機構Weiss Ratings發推表示:國會報告稱,比特幣的使用與傳統金融相比“微不足道”。與20世紀90年代初的紙質報紙相比,互聯網的普及程度微乎其微。這并不意味著任何事情,加密正向你而來。 此前報道,國會研究處(CRS)5月發布報告稱,與傳統金融系統相比,其交易數量“微不足道”。[2019/5/30]
如果我們把這種環境解釋為區塊鏈網絡和可能的智能合約的組合,技術前沿將是原則上可以由區塊鏈或DAO以無信任形式復制的互動類型的集合,換句話說,在鏈上管理。因此,去中心化的自主金融是指在這種環境下進行借貸的能力。外部信息和執行將被稱為鏈外。
我們定位了與技術前沿相關的四種基本金融類型:(1)貨幣交換,(2)直接借貸,(3)可交易證券,(4)由部分儲備貨幣發行資助的借貸。為此,我們對每一項都要問:支持它需要多少信任?
貨幣交換的激勵兼容性
貨幣交換的一個主要功能是協調收入和消費的分離,使消費可以在收入之前進行,而個人消費者不需要攜帶商品庫存。另一方面,金融協調收入與消費的分離,使消費可以先于個人消費者的收入。后者所涉及的問題在根本上與前者不同。然而,盡管后者所涉及的問題在趣味上與前者不同,但它們在形式上是足夠平行的,因此我們可以有效地將貨幣交換視為我們的"無金融"基準。
為了看到在不存在操縱可能性的情況下貨幣交換的激勵兼容性,重要的是--在造假導致的損失足夠低的情況下--參與貨幣交換網絡是一種協調博弈,其中帕累托最優是納什均衡,而且在廣泛的環境中都是如此。貨幣是一種網絡商品,最佳策略是采用最有可能被接受的貨幣,即已經被大多數人采用的貨幣。雖然這個過程確實使像比特幣這樣的利基貨幣的存在成為一個難題,但它也確保了內生性的破壞沒有什么機會。"變節"——通過拒絕接受貨幣來破壞貨幣體系。對叛逃者的傷害大于對系統的傷害。反復的交易,現實世界的身份,甚至根本不存在的身份,對于網絡的運作都是不必要的。
由于這個原因,貨幣交換完全處于技術邊界之內。區塊鏈協議利用導致人們首先加入貨幣網絡的那種網絡效應,誘使用戶批準構成貨幣單位的信息,作為加入網絡的前提條件。因此,貨幣交換完全處于技術前沿。首先,引導人們加入貨幣網絡的網絡效應被區塊鏈協議利用,誘導用戶認可構成貨幣單位的信息,作為加入網絡的先決條件。
聲音 | 郎咸平發文:沒搞清楚比特幣,有什么資格活埋李笑來?:郎咸平于5日在微信公眾號“功夫財經”上發布標題為《沒搞清楚就瞎投,有什么資格“活埋”李笑來?》的原創文章,評論日前發生的李笑來錄音泄露事件。
日前,一段疑似“中國比特幣首富”李笑來內部講話的錄音在社交媒體上廣泛傳播。在這段長達50分鐘的錄音中,李笑來對以太坊、瑞波、小蟻等多個區塊鏈項目和老貓、羅振宇、趙長鵬等多位區塊鏈領域名人進行了吐槽和評價,全程臟話連篇,不斷自曝,引起軒然大波。
郎咸平在文中評論此事件,稱自己很早之前就揭露過比特幣真相,比特幣有“三宗罪”:操縱價格,淪為傳銷,區塊鏈沒有解決問題。由于這三宗罪的存在,郎咸平十分不建議老百姓當下投資比特幣,他在文中談到:“現在的比特幣或者各種區塊鏈Token就是中世紀時期的銀行業,放長遠來看,可能二十年后這里面誰特別牛,誰從里面撈了第一桶金,畢竟這么多聰明人,群雄逐鹿,你方唱罷我登場,肯定有梟雄。但是,你一個老百姓,我非常不建議你參與這個可能99%都注定肉包子打狗有去無回的游戲。”[2018/7/5]
對于貨幣交換的另一方,即貨物的交付,則未必如此。當貨物不能立即轉移時(如必須運送),貨物的激勵兼容性對環境更敏感。然而,互補的鏈下機構,如爭議解決和聲譽機制正在圍繞區塊鏈生態系統發展。稍后,我們將考慮支持時間分離金融交換所必需的類似機制。盡管加密貨幣在技術前沿取得了令人印象深刻的成就,但在一些重要的經濟利潤方面,加密貨幣仍然表現不佳,最重要的是它們的購買力缺乏穩定性,驅動這些波動的是非個人的供需力量,而非投機的發行者,這一事實對貨幣使用者本身幾乎無關緊要。在現代市場經濟中,貨幣交換制度必須輔之以金融中介,調解貨幣借貸,不僅是為了促進跨期交換,也是為了確保價值的穩定性。換句話說,一個有效的貨幣體系需要的不僅僅是提供一個基礎貨幣和支付系統。雖然存在區塊鏈中介的雛形,但目前還缺乏一個強大的市場。
鏈上證券化
本節表明,鏈上證券化的激勵兼容性,即在二級市場上轉售承諾支付——要求買家和發起者之間具有類似的身份負載環境。假設這種環境是貸款人與借款人互動的特征,從技術上講,這是在二級市場上轉售承諾支付的一小步,即在區塊鏈上建立證券。作為債權人,我只需轉讓我在ETHLend智能合約中的股權,該智能合約就會成為一種證券,成為借款人的流動負債,而不是兩個具體當事人之間的安排。證券化引入的新問題是:在什么情況下,第三方買家會覺得值得購買貸款人在智能合約中的股權和它所代表的收入流?
Game.com徐樂:現在誰都定義不了什么是區塊鏈游戲:2017年,徐樂以1億元的價格拿下了Game.com的域名,搭建了名為“樂樂”的游戲平臺。近期,Game.com陸續上線了區塊鏈相關的游戲業務。關于區塊鏈游戲應該是什么形態,徐樂認為“大家都被以太貓誤導了”。在他看來區塊鏈游戲“不是游戲跑在鏈上合約上,也不是同時發幣”,區塊鏈游戲是一種設計游戲的新思想。以太坊養貓的游戲思想有邏輯問題,但是個很好的思想的開始。[2018/5/1]
為了關注貸方和買方之間的困境,我們在這里假設借款人可以違約,但必須誠實。因此,有必要說明借款人的收入情況,所以我們放棄他總是能夠償還的假設。相反,借款人借錢是為了資助一個項目,這個項目要么產生足夠的收入來支付費用,在這種情況下,借款人還款,要么不產生收入,在這種情況下,借款人誠實地違約。
我們可以認為這兩種結果代表了兩種類型的借款人,每個借款人都有動機向貸款人積極陳述自己,而不考慮自己的預期。因此,貸款人在每個申請者身上花費一定的金額,以確定借款人屬于這種類型的概率。如果貸款人從事前違約率為d∈[0,1)的借款人連續體中隨機選擇借款人,我們可以將i定義為每個受資助的借款人收集足夠信息以選擇項目的平均成本,這樣預期的誠實違約率為d/15。
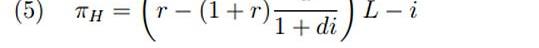
回到一次性博弈,貸款人從持有貸款到到期的預期利潤將是:

而他在打算持有時的利潤最大化的信息投資是:

然而,假設貸款人有機會在公開市場上將貸款作為一種證券出售。在這種情況下,貸款人的利潤將是:

其中,ρ∈是買方對收入流占未來價值L的比例的期望,rˉ<r是相關時間段的無風險市場利率。因此,第一個條款是貸款在二級市場上的市場價格。然而,問題在于i是貸方的私人信息。即使買方可以核實我所花的金額,他也不能告訴這些錢是否用在有效收集信息的方式上。在一次性環境中,來自匿名來源的證券買家無法驗證潛在收入流的預期價值。因此,我不影響市場價格,和利潤最大化的信息。買方知道這一點后,將ρ=1,而均衡市場價格也是0。市場價格也為零。在這種環境下,由于πS<πH,對于所有的i,貸款人更愿意持有貸款到到期,沒有二級市場的發展。
Game.com創始人徐樂:現在誰都定義不了什么是區塊鏈游戲 :Game.com的CEO徐樂接受采訪時說:“我的第一條twitter是在07年發的。進入游戲領域10年后,我發了第二條twitter,說Game.com會告訴全世界什么是區塊鏈游戲。我說那句話的意思是:目前沒有人能夠定義什么是區塊鏈游戲。目前的概念都是錯誤的。只有干出來,干成了標準,做成了老大,再去定義才有意義。”后又在朋友圈分享想法:“1.首先需打造基礎服務,甚至比交易所還要安全的數字貨幣充提幣的自動化系統加人工風控,冷錢包存儲永不聯網的保障用戶的數字資產安全;2.有基礎后,才有資格為數字貨幣玩家群體提供娛樂服務,服務端的內容只有在非常必要的情況下才有必要放在區塊鏈上;3.一定要用區塊鏈思維去思考和設計新玩法,進行再創造,舍棄舊世界的東西。”[2018/3/3]
從一次性匿名環境到有聲譽的多次匿名環境的轉變,與直接借貸模式完全類似:貸方與買方之間的關系與借款人與貸方之間的關系是一樣的,借款方用現有的錢換取償還的承諾,不同的是他是在轉售另一個人的承諾,而不是自己的承諾。盡管如此,由于違約是有概率的,買方不能使用觸發策略,而是必須更新他對貸款人誤報違約概率的可能性的評估。因此,貸款人的“誠實條件”更不可能持有。
現實世界中的二級市場由一些機構提供擔保,這些機構都不明顯處于技術邊界內,但其中許多機構都可以采用混合解決方案。首先,信用評級機構對證券的收入流進行外部審計以評估違約概率,從而為貸款人的估計提供可信度。這并不排除系統性的錯誤,就像2008年,抵押貸款支持的證券下的抵押貸款被證明比預期的更具有周期性的相關性。然而,據任何人所知,這不是一個機會主義的例子。事實上,盡管一個給定的風險模型可能足夠客觀--因此可由區塊鏈證券上的智能合約執行--但酌定權在兩點上進入了。(1)輸入風險模型的數據,以及(2)風險模型的開發和選擇,這兩點都無法有效地通過算法來選擇。
其次,雖然區塊鏈降低了信息傳播中的交易成本,但不能指望它們會降低信息生產中的規模經濟。大銀行的聲譽比小銀行的聲譽更有價值,因此在一定程度上,在金融公司中觀察到大量的市場整合。大規模的假名金融公司是可以想象的,即使不太可能,但即便如此,這也使我們離小規模貸款人在公開市場上發起和交換證券的脫媒形象相當遙遠。
最后,如果出現機會主義,貸款人和評級機構都有可能受到法院的酌情制裁。正是由于貸款人歪曲相關信息的動機,以及買方無法看穿貸款人事后的合理推諉,才有必要采取涉及各方都沒有明確提出的價值的酌情和非算法行動。
因此,區塊鏈證券二級市場的流動性可能比區塊鏈極端主義者所期望的要“傳統”得多。特別是,它可能涉及使用智能合約的大規模非匿名中介,但并不排除傳統的法律合約。雖然算法治理在技術邊界是一種可行的替代決策,但在技術邊界之外,它們仍必須是補充。在這種情況下,與常見的"代碼即法律"的口號相反,恰恰是法律的非算法性質使其比代碼具有比較優勢。
杠桿與流動性承諾
最后一種類型的金融將使加密貨幣與國家貨幣的功能等同,即以貨幣形式支付的杠桿承諾的流通。在加密貨幣市場,鑒于與國家貨幣相比的高匯率和購買力波動,這種反周期力量是至關重要的,不僅有利于穩定支出量,以應對貨幣需求的變化,還可以將貨幣供應的變化分布與需求的初始變化模式相匹配。
加密貨幣領域的新發展有可能避開技術和意識形態方面的障礙。對于有需求彈性的貨幣供應,以及穩定的貨幣來說,重要的不是部分儲備銀行業務本身,而是發行具有足夠流動性的杠桿債務工具,使其能夠替代貨幣并作為貨幣流通。目前,銀行存款為現有的國家貨幣提供了這一目的,但任何將證券二級市場崩潰為貨幣余額市場的發展都足以滿足需求彈性貨幣供應的目的。比特幣區塊鏈上的"閃電"網絡是一個很有前途的范式。
閃電網絡起源于一種降低交易費用和驗證時間的方法,這兩種費用都隨著興趣波的增加而增長,從而堵塞了比特幣區塊鏈有效處理支付的能力。其想法是使用智能合約在雙方之間打開一個標簽。智能合約將標簽與區塊鏈的交易驗證過程隔離開來,只有當雙方關閉他們的關系時,才向更大的區塊鏈廣播(并最終確定)各自的余額。鑒于向區塊鏈廣播交易在費用和時間上都很昂貴,用這種方式跟蹤雙邊收支可以提高效率。
從金融的角度來看,閃電網絡的有趣之處在于,它所記錄的余額對區塊鏈來說是可讀的,但沒有反映在最終的余額中。換句話說,從典型的區塊鏈賬本的角度來看,它們是支付的承諾。
話雖如此,閃電式智能合約在其金融應用方面仍有局限性。對交易對手風險敞口最小的理念,限制了各方事先將固定金額納入合同,然后可以在鏈外更新該金額的劃分。如果選項卡超過了設置的金額,就必須設置更多的資金,這就需要額外的鏈上操作,從而抵消了選項卡模式的速度和成本優勢。
然而,通過可行的技術擴展,類似于"閃電"的智能合約可以為去中心化創建杠桿貨幣區塊鏈工具提供支架。如果有可能承諾比智能合約中的抵押物更多,那么閃電合約作為支付承諾的限制將被克服。沒有必要事先將流動資產投入到貸款中,貸款的數量將以通常的方式對貨幣需求做出反應。
與目前完全抵押的區塊鏈融資方法相比,靈活的閃電合同將具有以下優勢:
1.允許系統根據預期的變化,通過提供可銷售的工具來創造流動性,而不是簡單地轉移固定的流動性存量。
2.允許個人利用預期未來收益的資本化價值,而不是簡單地轉換當前持有的資產。
3.穩定貨幣的價值,因為杠桿負債的總供應量會調整以抵消對貨幣單位的需求變化。
然而,這將以一個完全不可信的體系為代價,并允許違約的可能性。具有上述優勢的系統必然會使貸款人暴露于交易對手風險中。換句話說,我們已經從支付領域轉移到金融領域。在金融領域,消除交易對手風險也消除了任何融資方法處理未來不可減少的不確定性的能力。融資在不確定性條件下支持生產和組織的必要方法必然涉及違約的可能性。具體來說,為了使杠桿承諾的二級市場(如前一節的非杠桿承諾)可行,鏈下制裁和仲裁(通過或有假名實現)將是必要的。沒有抵押品或鏈下制裁和仲裁,假名貸款市場就無法運作。
現有的和歷史上的機構為這些潛在問題的可行解決方案提供了線索。然而,如果認為區塊鏈上的類似機構必須在所有方面都反映傳統機構,那將是缺乏想象力的。雖然很難預測創新的確切路徑,但與現有的部分儲備金金融機構相比,不受約束的閃電合約將提供一些優勢:?
1.透明度高:在公共賬本區塊鏈上,任何貸款人轉售支付承諾的資產負債表都是公共信息。即使賬目反映的是面值,而不是更有經濟意義的"按市價計價",監控中間環節的成本也會大大降低。
2.去中心化:與區塊鏈賬本的物理去中心化完全不同,該技術還可以使市場去中心化成為可能。監測和收集信息的成本與中介機構的數量成正比,因此監測成本高且不斷上升可能是最近金融市場集中化的一個重要因素。為了應對日益復雜的金融和日益困難的消費者監督,政府已經施加了越來越嚴格的報告和資本要求。如果這些重新要求帶來了巨大的固定成本,較小的公司將被趕出市場。因此,監測和報告成本的減少將合理地降低市場集中度,使眾多的小公司能夠在市場上生存。因此,監督和報告成本的降低將合理地減少市場集中度,使眾多的小貸款人能夠通過發行以其流動儲備為杠桿的流通負債來為其貸款業務提供可靠的資金。
3.競爭:由于廣義貨幣供應對需求變化的反應取決于市場對金融中介機構的競爭力,金融公司日益集中需要更積極的貨幣政策,根據銀行貨幣數量的變化能夠有效滿足的需求變化調整基礎貨幣的數量。另一方面,一個更分散、更具競爭性的金融市場,似乎可以在基礎貨幣水平上不存在任何自由裁量權的情況下運行,對需求的調整完全取決于杠桿負債水平。例如,Friedman考慮了在競爭環境中凍結貨幣基礎或其擴張速度,并將彈性貨幣供應的責任分配給更廣泛貨幣發行方的可能性。Selgin明確指出了這一論點與固定供應路徑加密貨幣的相關性。
在宏觀經濟層面上,比特幣和其他加密貨幣的外生供給路徑沒有提供任何手段來抵消日常需求變化導致的價格波動。在微觀層面上,用戶無法根據預期的未來回報獲得流動性,這使得生產機會成為可能。
結論
金融是貨幣經濟的重要組成部分,而交易方風險的量化、緩解和轉移是金融的組成部分。在純粹的基礎設施層面,加密貨幣有可能比現在的國家貨幣更有效地發揮貨幣和金融功能。然而,我們已經表明,對于技術前沿之外的互動,純技術解決方案是不夠的。因為金融涉及到不可復制的兩難問題,即使是簡單和直接的形式,也不能純粹以算法或在假名環境中完成。純粹去中心化的自主金融歸根結底是空想。
因此,如果要充分實現區塊鏈在金融技術方面的潛力,企業家必須能夠用現有的自由裁量和身份承載的社會機構來補充技術基礎設施,這些機構已經發展到解決金融所帶來的各種困境。消除對手方風險的理念必須輔之以透明地管理對手方風險的能力。
我們已經論證了oracles為這種整合提供了一個合理的基礎。金融中介通過oracles,閃電合約也有可能確保杠桿承諾和基礎貨幣之間的可替代性,這對于一個功能性的、價值穩定的加密貨幣來說是必要的,這種貨幣雖然不是純粹的自治——仍然不受主動管理的影響。我們希望,通過展示"可信賴的"機構對于有效解決金融中固有的社會困境的必要性,本文將為未來區塊鏈金融問題的創業解決方案指明方向。
作者|?CameronHarwick、JamesCaton
編譯|馬吉娟
Tags:區塊鏈加密貨幣比特幣AME魔獸幣應用區塊鏈嗎加密貨幣和數字貨幣的區別和聯系比特幣是什么合法嗎是不是騙局Shiba Fame
受比特幣等私人數字貨幣采用區塊鏈技術的影響,區塊鏈等分布式賬本技術常常被認為是數字貨幣的標配技術。現有各國央行在數字貨幣試點或試驗中,也都無一例外地以驗證區塊鏈技術為主.
1900/1/1 0:00:00Polygon在ZK-rollups領域有進行了一項收購。12月9日,以太坊Layer2擴容解決方案Polygon宣布以4億美元收購零知識證明技術開發商Mir.
1900/1/1 0:00:00近期,區塊鏈上的寵物養成類游戲AxieInfinity宣布,側鏈Ronin的底層通證RON開始流動性挖礦.
1900/1/1 0:00:00世博會是當今世界人類創意的最大盛會。無論是從空間,還是從內容等角度來講,世博會涉及范圍都非常廣泛,不受國體限制,更不受地域影響,也沒有民族、宗教、文化、經濟水平等因素的限制.
1900/1/1 0:00:00隨著DeFi2.0的推出,新一代的貨幣樂高正在其前身的基礎上建立,以使去中心化的金融環境對其參與者更加有效、友好和有用.
1900/1/1 0:00:00據中國基金報12月14日報道,元宇宙投資越來越火,就連李嘉誠旗下的維港投資也開始布局,首個投資目標鎖定了《頭號玩家》主演泰伊·謝里丹(TyeSheridan)聯合創立AI技術提供商WonderD.
1900/1/1 0:00:00