BTC/HKD-2.54%
ETH/HKD-3.16%
LTC/HKD-1.76%
ADA/HKD-2.99%
SOL/HKD-1.52%
XRP/HKD-2.93%比原鏈研究院王嘉昊劉秋杉
前言——《AMM終極筆記》是對諸多代表性AMM項目和相關論文進行的一項綜述,由于AMM所涉及層面較為廣泛,本文選取我們認為最能代表AMM本質特征以及未來發展方向的無常損失進行講解。
注:AMM,自動化做市商,以基本數學曲線定義加密貨幣交易對的供需曲線,基于智能合約的全天候無人值守,重新定義了DEX的基本形態,代表項目Uniswap。
大家最為關心的無常損失是一個難題,不可解,但存在優化的方法。
從簡單的角度來說,無常損失就是當場外代幣A相對于代幣B的匯率上漲時,套利交易者會從場外籌集代幣B,并轉移到AMM資金池,以相對于場外更優惠的匯率換得更多的代幣A,從而實現無風險套利。而這部分利潤也是資金池的損失,可以稱之為無常損失,因為一旦匯率又重新回到原始位置,將再次創造反向套利空間,整體池子的資產數量將回歸到原始狀態,LP們無損失,但因為行情的兩次變化,也因此造福了兩次套利者利潤,這個利潤空間就不再來自于LP的財富,而是市場機會,是只有精明的套利者不斷盯市場贏得的機會。從這個角度看,無常損失是精明的套利者和懷揣大局意識的LP之間博弈均衡的結果,套利者也極大地活躍了AMM交易市場,尤其是當有非常多的套利者開始意識到此處的機會并開始競爭套利。
從一般性的角度定義無常損失,即無常損失只看交易對匯率是否發生變化,一旦發生變動,便產生客觀的無常損失,與是漲是跌無關,一旦匯率回歸,損失自動消失。這意味著,只有當流動性提供者在與最初使用的價格情況不同的情況下移除流動性時,才會出現無常損失。如果不移除,而等待一個更有機會的時機撤出,損失就不會發生。作為對比,在傳統金融上,我們可以認為這是一個?"賣出永續跨期?"的頭寸。之所以說是永續,是因為這個頭寸沒有到期日,LP可以持有多久就持有多久。

另外要著重提到的一點,也是如今很多玩家都未意識到的一個方面,無常損失雖然理論上是無上限的,但基于比特幣等大行情的變動總是有所范圍的假設,無常損失也是有可計算的上限,例如交易對BTC/USDT中BTC從20000USDT漲到60000USDT,留給套利者的無常損失空間也不會超過13%,即LP無常損失控制在13%。
SushiSwap在Metis上啟動Trident AMM和Bentobox挖礦:7月28日消息,SushiSwap現已在Metis上啟動Trident AMM和Bentobox挖礦。[2022/7/28 2:43:32]
此外,無常損失是一種貪婪心理,我們總是愛將現實和假如做對比,還是看BTC/USDT交易對,在BTC上漲后,本質上不論怎么無常損失,LP的財富總是法幣增值的,然而人們往往愛跟假如做對比,會想“假如自己當初在20000USDT的時候一直持有這么多BTC而不去參與AMM賣掉該多好”,但實際上很多LP是因為AMM才開始組建自己的資產配置,去購買BTC,去構建交易對,因此大多數LP財富增值的機會正是來自于AMM這種集儲蓄利息與基金組合功能于一身的特定場景,如果總是抱著貪婪的心態去看待問題,那么可以肯定任何金融市場均不存在只有收益沒有風險的路徑。
附:以下為模擬交易:
當1ETH=500USDT,做市商存入10ETH和5000USDT。他的總資產價值是10000USDT。
當1ETH=550USDT,這個時候就存在套利的空間,在AMM機制下,做市商池就會自動向套利者賣出ETH換取USDT,因此,目前流動性池中資產變為9.53個ETH和5244個USDT,對應的ETH的價格為550USDT,總資產價值是10488USDT。
如果不去做市,USDT本位的價值為10500,這便產生了相對的12USDT無常損失。
相反的,
當價格下跌1ETH=450USDT時,套利者會向池子注入ETH來換取有利潤空間的USDT,直到ETH的場內價格與市場價相同,因此做市商的流動池就變為10.54ETH和4743USDT,總資產價值是9486USDT。
如果不進行做市活動,總資產價值是9500USDT。相對來看整體資產貶值了500USDT,進行做市額外還損失14USDT。
從實際例子中不難看出不論價格漲跌,在AMM機制下,流動性供應商的反向操作都會造成一定的無常損失。
第一類:動態權重的恒定加權幾何平均函數
此類解決方案以BancorV2為代表項目。最原始的靈感是Balancer為AMM引入了恒定幾何加權平均的函數。

Ripple希望通過AMM功能為XRPL帶來巨大的DeFi潛力:金色財經報道,Ripple目前正在考慮為其網絡添加自動做市商(AMM)功能。根據Github,正在討論0030 XLS-30d提案,該提案旨在為XRPL區塊鏈引入AMM。這被認為對該網絡具有巨大的潛力。(U.Today)[2022/7/4 1:50:21]
本質跟Uniswap的恒定乘積類似,但賦予了每一項指數的概念,也因此擁有更靈活的曲線形態。也是Balancer第一次在一篇文章中提到了可以通過動態更新權重項來從根源上阻止無常損失的發生,而BancorV2則對此方案進行了更通用細致的數學描述。
細致的數學描述這里不展開講解,由于篇幅限制本文只進行原理概要。如果權重項不變的話,可以將曲線形態看成跟Uniswap一樣。如果不斷變化權重,曲線將會繞著曲線上的某一個點在不斷旋轉,使得旋轉后的曲線在該點的切線斜率與最新的市場價格保持一致,而促進這個旋轉計算的便是來自外部市場價的預言機驅動,通過為AMM更新每一刻最新的市場價,反推權重項的計算,以使當前點在新曲線的切線斜率不斷隨市場變化,進而不創造套利空間。形象的計算如下:

雖然此類解決問題的方法是非常本質的,但缺陷也是十分明顯且隱患巨大。一個本來可以完全自動應對市場的AMM需要單點依賴一個外部預言機,一旦預言機出現問題,即便是很小的問題,也會給AMM帶來巨大的套利攻擊損失,這種損失不同于無常損失,是切切實實的用戶損失,也會給以后AMM的商業擴大帶來根本阻力。另外,此類AMM將徹底失去市場定價權,即放棄了自己成為PrimaryMarket,我們都知道隨著DeFi等的崛起,越來越多有價值的新資產都選擇DEX作為自己的PrimaryMarket,反而那些中心化的主流交易所成了SecondaryMarket。
除了BancorV2,國產項目DODO也有著類似的方式,雖然DODO并未采用恒定加權幾何平均函數,而是采用了一種類似Curve的混合構造函數,但本質都是依賴一個外部預言機,來不斷更改曲線的形態,使得新曲線的報價結果與外部市場緊密跟隨。
如果一個系統只依賴自己,那么它的安全邊界就是自己,是可以計算的;如果一個系統依賴了外部因子,它的安全邊界理論上是不可估算的,如同一個拜占庭分布式系統一樣,沒有任何經驗觀察甚至形式化數學可以估算覆蓋到所有潛在fault路徑。
路印COO Jay:路印將AMM交易模式帶到了zkRollup二層:據官方消息,幣贏CoinW《共識52》第十一期《ETH2.0的擴容之路——Layer2能否突破DeFi的局限?》主題AMA中,路印COO Jay講到:DeFI其實就在把現實金融世界里面的各種場景在區塊鏈世界里面再造出來,比如?Compound 就對應傳統銀行借貸,MakerDAO 有點像央行鑄幣,各種?DEX 實現的是交易需求。一個很明顯的趨勢就是DeFI項目都在往二層遷移,就是因為以太坊主網實在太擁堵了,而路印協議絕對是二層解決方案中的派頭兵,Loopring 是世界上首個基于?zkRollup 的DEX,也是世界上首個基于zkRollup 的AMM, 并且已在以太坊主網上平穩運行快1年左右的時間了。
路印再次創造了歷史,將AMM這種交易模式帶到了zkRollup二層。路印的新技術甚至可以把一個訂單拆解到AMM和訂單本做局部成交,用以尋找到最有的成交價。這將有可能改變交易所的競爭格局, 我們期待AMM和掛單交易的結合能給用戶嶄新的體驗。[2020/12/3 23:01:03]
第二類:虛擬余額限制套路路徑
此類僅存在于Mooniswap。與BancorV2和DODO解決問題的思維不同,Mooniswap并未改變AMM的最大本質,與Uniswap只能眼睜睜看著套利者來吃肉不同,當系統出現套利空間時,Mooniswap會自動根據偏移量逐次構建多條虛擬的曲線,使得套利交易者只能吸收到每一條虛擬曲線所規定的套利上限,而不再是一次性在原始曲線上完成大量套利。
如下圖,初始平衡點在A,一筆交易使得系統處于X點,此時便產生了套利空間,在Uniswap這種傳統AMM中,任何聰明的套利者都可以通過一筆交易一次性地拉回到A點,而這個過程往往伴隨著可觀的利潤。Mooniswap的虛擬構造法便是陸續構建了上面三條AMM曲線,首先給套利者呈現的是下圖第二條曲線BC,套利者的套利路徑僅僅只有B到C的短暫過程,當該套利者到達C點后,系統便放出第二條虛擬曲線DE,同理,給套利者呈現D到E的套利路徑,在第二個套利者到達E點后,系統放出最后一條曲線,也是最終要更迭到的實際曲線ZQ,最后一位套利者從Z到Q完成套利,最終系統曲線變為ZQ,且平衡點為Q。通過者一系列虛擬構造,即便三次加起來的套利空間也遠小于傳統AMM曲線一次套利路徑,而且在這個過程中套利者也為資金池注入了更多的資產,使得池子規模變大,也充當了LP,曲線向右上偏移。
HUBDex 自動做市商(AMM)閃兌(Swap)功能正式上線:據官方消息,CoinXP交易公鏈為去中心化交易所HubDex提供“閃兌”工具SDK,本周HUBDex率先上線自動化做市商(AMM)的去中?化數字貨幣閃兌新功能。目前支持BTC-USDT/ETH-USDT/HUB-USDT數字貨幣之間的閃兌。
據悉,HUBDex的用戶除了可以進行交易外,還可以通過提供流動性而獲取收益。基于AMM 模式的DEX只需使用錢包連接就可進行交易,便捷性已超過中心化交易所。在資金安全方面,由于始終都是在自己的錢包中存放著的,交易所并沒有托管我們的資產,所以也不用擔心跑路的風險。[2020/11/11 12:21:30]
對于具體的點位計算和數學證明,請詳見Mooniswap白皮書。

此類方法缺點,需要仔細判別套利機會的出現,一定程度上也需要依賴外部因子;而且虛擬量縮短套利路徑的過程需要動態構建大量曲線,對于高并發的系統,此類方法在工程上過于復雜,引入太多不確定性。
第三類:無限網格策略做市
以比原鏈MOV超導V2提出的基于無限網格策略的AMM算法為例。這種解決方案并未直接去關注無常損失的發生,也未去針對無常損失的始作俑者套利者,它是在以一種基金經理的角色在管理LP的財富,不希望只通過儲蓄利息讓LP財富增值,更是希望可以在專業基金策略的作用下充分利用好LP巨大的財富池,跟隨市場大勢,獲得基金式的財富增值。其中,無限網格策略是MOV超導V2所選擇的方向,并將其在AMM上實現,雖然還有很多不足,但如下大致給出了構建思路。

如上圖,超導V2在原有恒定乘積曲線做市商機制的基礎上進一步分段構造出了不同形態的曲線形態,以滿足無限網格的基本定義——“分段買入賣出,即便在市場最高點時也有現貨可以賣出,在市場最低點時也能完成建倉操作”。超導V2通過上面四種分段函數的構造,希望可以實現——“在行情上漲時,能夠適當出貨BTC,但不要大量出貨,逐步逐量,既能夠幫LP在達到最高點前守住BTC,也能夠在上漲行情中智能化的賣出適當數量BTC,以應對潛在的大跌風險;在行情下跌時,HOLD,以上漲時積累的USDT財富獲得財富增值”。
AMM價格連日暴漲,漲幅達40.75%:根據OKEx數據顯示,AMM最新成交價格為人民幣13.26元,24小時最高價達人民幣16.58元,最低價格為人民幣9.35元,漲幅達40.75%。MicroMoney是一個公共的信用與數據局,它將新客戶與現有金融業務鏈接起來,使用復雜的算法預測客戶的信貸能力,所收集到的龐大數據和信用記錄都被保存在區塊鏈中,企業可以接觸到數百萬個新客戶并吸引他們進入世界經濟中。[2018/1/10]
在具體函數構造和實現原理上,可以對照上圖看如下圖例。早在2020年8月份,當時的超導V2設計者就預計未來可能會達到一個40000刀至100000刀的一個牛市行情,因此做了如上四個分段預測。在第一段中,超導函數為非常普通的恒定乘積曲線,執行簡單的AMM倉位策略,在達到40000刀時,函數自動觸發切換為混合構造函數曲線,這是一種曲率更低的曲線,可以大幅度改變BTC倉位,在40000~100000范圍,如果判斷本輪最高點可能到100000刀,則在100000刀處再次設置函數切換點,變為非常陡峭的雙曲線,可以幫助LP在行情回落過程中不會重新將高點套現的USDT再還回去。具體數據可以見下圖。

這種解決方案的優勢是一旦策略預測成功,不僅可以解決無常損失,還可以大幅度幫助LP獲得基金級別的財富增值,這是市面上任何AMM都給不了的,即便是有流動性挖礦加持。而且這種策略不依賴任何外部因子,只依賴自身策略,因此不會引入其他風險,即便是后市行情不如所愿,也可以提前更改下一個函數切換點,及時改變下一段函數形態,避免大規模損失。缺陷也是十分明顯的,即需要非常專業的基金經理預判和策略,需要能夠預測好較大范圍的后市行情,而且分段函數的構造十分復雜,超導V2在構建自身策略時,其實是有更好的函數構造,但迫于數學形態過于復雜且工程實現困難,便選擇了如上實現案例,也是一種折中辦法。
第四類:經濟補償
這一類是最為大家熟悉的方法,即以自身代幣的形式為LP補償損失,包括BancorV2.1和流動性挖礦兩種形式。
BancorV2.1是在Bancor意識到BancorV2無法解決無常損失而且會帶來預言機系統風險之后重新制定的無常損失方案,這種方法會從系統層面記錄每一個LP初始做市時的倉位,在無常損失發生后,會通過系統增發Bancor代幣來補償無常損失。
流動性挖礦也是異曲同工,不過BancorV2.1的補償更為精細,有多少損失便補貼多少自身代幣。而市面上的流動性挖礦,多則APY可達幾十倍,少則也有兩三倍,是一場瘋狂的造富運動,即便是LP參與了一個月,所獲得的挖礦財富也足夠其應對無常損失的任何上限。
因此流動性挖礦如果可以做好“善后”工作,也未嘗不是一種根本性的無常損失解決方案。
第五類:期權對沖
也叫Hedge,這一類研究非常稀少,幾乎不見于任何市面上的項目,之前火幣研究院有過一篇專門的報告。火幣研究院的文章論證了通過看跌期權來補償無常損失的基本結論,并給出了具體數量和位置指導,一定程度上是可以明顯起到緩解無常損失的作用,見下圖。

后來我們也發掘了幾篇非常好的行業論文,尤其是Placeholder的研究員AlexEvans的研究工作十分突出,我們也在此對其進行簡單解讀。
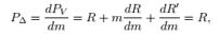
在傳統金融理論中,動態套期保值是機構投資者利用股指期貨或股票與無風險資產創造合成的看跌期權并通過使用合成看跌期權策略尋求保護投資組合價值的策略。而在CFMM機制下,有人提出可以類比資產的Delta值和Gamma值來規避高額LP風險。接下來我們將會計算LP的動態對沖數量,并展示它們如何在交易中表現良好。通過以下的數學推導,我們還可以看出動態對沖數量和曲率之間的關系。
儲備的投資組合價值

其中m為市場價格,R和R’儲備金數額,則我們可以得到

。
如何證明此等式的正確性?函數ψ只與R和R’有關,在無套利的情況下,市場價格m滿足

。則等式滿足函數ψ對市場價m求一階導為零,帶入得:

整理即得:


在JosephClark所著的論文《Thereplicatingportfolioofaconstantproductmarket》中,他提出了用帶CPM收益的歐式期權來提高LP的收益。在他看來,LP根據新的資產比例得到的一定比例的交易費用可以被精確復制與期貨和期權的靜態組合。如果這些期貨和期權存在并且是可交易的,每千次展示費用收取的交易費用將由期權價格決定和預期的交易量。如果期貨和期權不存在,則CPM的收益可以用來創建它們。
我們可以詳細討論下在CPM模式下的收益以及最終組合投資的總收益。
我們假定當前市場價為

,則此時準備金可以表示為

。那么在時間t內我們得到的組合投資凈利潤為


。顯然,我們可以得到最終投資的總收益為

。
當然,我們還有另外一種思路,就是研究在CPM模式之下復制歐洲看漲期權對LP的收益,跟前文說的組合收益不同,這種期權不是靜態的,但是它可以做到在有限的套期保值下保持精確。仿照期權Greeks,JosephClark給出了在CPM模式之下,影響期權價格的各項指標:

復制期權的總回報等于CPM收益和期貨的原有收益相加:

綜上我們不難看出,JosephClark認為可以用靜態資產組合來對沖LP的風險損失,而動態對沖數量和曲率有密切聯系。若期權和期貨不可交易,那么CPM帶來的收益也可以作為復制期權的備選項。
未完待續
我們還有很多課題和最新研究成果與大家分享,包括
LP終極收益的數學公式表達以及影響LP收益的最本質因子,其實都可以通過公式論證出來,以幫助AMM產品更好的進行迭代改進,例如影響LP收益的有曲率、informedtrading等;
流動性挖礦的真正使命,除了補償無常損失外,還可以起到非常好的AMM項目自身原始代幣的發行以及代幣價格穩定的作用,我們認為通過流動性挖礦發行的自身代幣價格,不會存在死亡螺旋的現象,反而會造就項目市值的一個強支撐,當然前提是該項目是非常有人氣有口碑的項目,此外,流動性挖礦的具體補貼數值也存在數學表達和影響因子;
AMM項目在未來會都向著動態AMM形態發展,即不再局限于一條曲線形態,會根據不同的情境輔助以多種曲線形態;曲率是一個被大大忽略的曲線研究領域,曲率幾乎決定著一切AMM產品特征,曲率甚至可以改變一個新幣種的主市場定價問題。
Tags:AMMUSDTSDTUSDHAMMERbitkeep的usdt怎么轉賬出來USDT幣提到錢包有風控嗎usd幣怎么兌換人民幣
上周加密市場震蕩,比特幣暴跌呈現“深V”走勢,最低跌破4.5萬美元關口。卡爾達諾代幣ADA異軍突起,以超10%的漲幅上升為市值排名第三的加密貨幣.
1900/1/1 0:00:00大戶錢包動向解析 2月24日,一則“巨鯨拋售14萬枚比特幣”的新聞牽動著加密貨幣投資者的神經。隨著比特幣價格一路上漲,近期大戶錢包地址數據的確出現了一些變化,本文將通過數據分析為比特幣市場走勢提.
1900/1/1 0:00:00作者:NovumInsights 翻譯:李翰博 在2020年第三季度,所有的去中心化金融加密交易所都開始快速增長,這基本上是由于Uniswap推出了一個更有彈性和深度的版本.
1900/1/1 0:00:00晚間必讀5篇|波卡平行鏈競拍將至必須關注四個方面 金色薦讀 剛剛 23 1.何時才能發揮整公鏈系統實用價值?一條真正具有價值的公鏈,除了可以用來發幣之外,還應當有去中心化應用和智能合約存在.
1900/1/1 0:00:00DeFi項目Yeld.finance稱該項目的DAI池遭受到閃電貸攻擊,但成都鏈安分析稱,該筆交易為Yeld.finance項目自身的策略機制而導致的資金轉移,與閃電貸攻擊無關.
1900/1/1 0:00:00本文來自?Medium,原文作者:JustineHumenansky譯者:Odaily星球日報Katie辜 比特幣和以太幣以及其它加密貨幣的價格以及鏈上活動的價格已經突破了以往的歷史高點.
1900/1/1 0:00:00