BTC/HKD-3.3%
ETH/HKD-4.58%
LTC/HKD-3.98%
ADA/HKD-4.86%
SOL/HKD-5.72%
XRP/HKD-5.29% 
Overview概述
項目優勢一:
在過去一周整個去中心化交易所市場的整體交易額為15.85億美金,其中Uniswap過去一周交易額排名第一,交易總金額為7.3億美金。Uniswap作為去中心化交易所賽道的最大交易平臺,占據了46.08%的市場份額,是該賽道絕對領先者,有望享受的網絡效應,繼續領跑該賽道。
項目優勢二:
Uniswap采用的模型,使用戶可以直接在兌換池進行代幣兌換,不僅改變了以往的訂單簿交易模式,而且降低了做市的門檻,讓每一個用戶都可以成為某一個交易對的做市商,并分享手續費收益。該機制是DeFi領域的巨大創新,有望進一步搶占傳統中心化交易所的用戶和流量。自2018年10月上線以來,Uniswap的用戶數量呈現指數級增長,截止目前合計約14萬用戶,每月用戶數量的復合增長率約34%。
項目風險一:
當前Uniswap的流動性池總金額為227,049,095美元,其中前五大交易對占整體金額的40.39%。金額最大的交易對為ETH-AMPL,僅此一個項目就占整體交易金額的14.69%。Uniswap上的交易量嚴重依賴少數頭部項目,如果頭部項目的交易額以及流動性做市出現下跌,會對整個平臺的交易金額產生極大負面影響。
項目風險二:
當前Uniswap并不需要對平臺上的用戶進行KYC/AML審核,也沒有建立對平臺上交易的項目代幣的審核機制,所以平臺上出現了大量的詐騙項目,讓用戶產生巨大損失。此類大量詐騙項目的發生,會使得Uniswap團隊承受較大的潛在法律風險。
市場前景
去中心化交易所經過3年左右時間的發展,已經開始展現出了迅猛發展的態勢,特別是自動做市商制度的推出,更是將去中心化交易所的交易金額由之前的百萬美金級別增長到現在的十億美金級別。根據統計網站DuneAnalytics公布的數據,現在去中心化交易所每天的交易額已經達到3億美金,每月的交易額也將近45億美金。
Defi Llama發布針對Optimism進行優化的Uniswap V3路由器Llama Zip:2月28日消息,DefiLlama發布專門針對Optimism進行優化的UniswapV3路由器Llama Zip,相與所有其他聚合器實現了巨大的Gas減少。用戶可在DefiLlama旗下DEX聚合器Llama Swap上切換Optimism網絡獲得體驗。[2023/2/28 12:33:07]
圖一:去中心化交易所每月交易金額統計

來源:DuneAnalytics
市場份額
根據統計網站DuneAnalytics公布的數據,在過去一周整個去中心化交易所市場的整體交易額為15.85億美金,其中Uniswap一周交易額排名第一,交易金額為7.3億美金,整體占比為46.08%。
交易金額排名第二的為去中心化交易所Curve,過去一周交易額為2.76億美金,交易額占比為17.39%。綜上所述,目前Uniswap的市場份額處于絕對領先地位,占據了整個去中心化市場份額的一半左右。
表一:去中心化交易所近一周交易額排名
排名
去中心化交易所
近一周交易額
交易額占比
1
Uniswap
730,485,917
46.08%
2
Curve
275,746,150
17.39%
3
dYdX
129,795,004
8.19%
4
0x
112,707,727
Unicly與Sushi合作推出全新NFT分割拍賣機制:NFT交易協議Unicly宣布與Sushi合作推出全新的NFT分割拍賣機制,并計劃與SushiSwap合作打造uSUSHI NFT藏品。其首次uToken MISO拍賣(Genesis Mooncats Collection)將于美國東部時間7月5日上午11:00(北京時間晚11點)舉行。此外,SushiSwap據報正在開發自己的NFT平臺,名為Shoyu(醬油)。Shoyu全面運營后,有望強化Unicly和SushiSwap的進一步協同效應。[2021/6/30 0:16:40]
7.11%
5
Balancer
112,175,550
7.08%
6
Kyber
72,542,621
4.58%
7
Bancor
49,131,359
3.10%
8
Synthetix
38,255,532
2.41%
9
Oasis
21,233,961
1.34%
10
IDEX
20,107,307
1.27%
11
Goosis
15,581,093
0.98%
12
Loopring
4,185,720
0.26%
13
DDEX
3,260,665
0.21%
UNI跌破14美元關口 日內跌幅為4.94%:火幣全球站數據顯示,UNI短線下跌,跌破14美元關口,現報13.9998美元,日內跌幅達到4.94%,行情波動較大,請做好風險控制。[2021/5/24 22:35:52]
合計
1,585,208,606
100%
來源:標準共識、DuneAnalytics
市場定位
Uniswap目前是建立在以太坊網絡上的去中心化加密貨幣交易所,允許用戶直接使用其協議交易加密資產。
Uniswap區別于火幣、OKEx等中心化交易所,其將做市商自動化,用既定算法替代人工報價,不僅去掉了中心化的撮合與清結算,還消除了交易中的做市商。
做市商不同于普通的交易人員,他們是風險中性的,一手持有代幣,一手持有現金。在訂單薄模式下,會同時發布買單和賣單,中間為差價。
做市商是流動性的來源,高流動性市場需要做市商也反過來會吸引規模化的做市商參與。
每個人都可以加入流動性池子,只需要將指定的兩種資產存入即可,系統通過的模型得出資產價格。
產品介紹
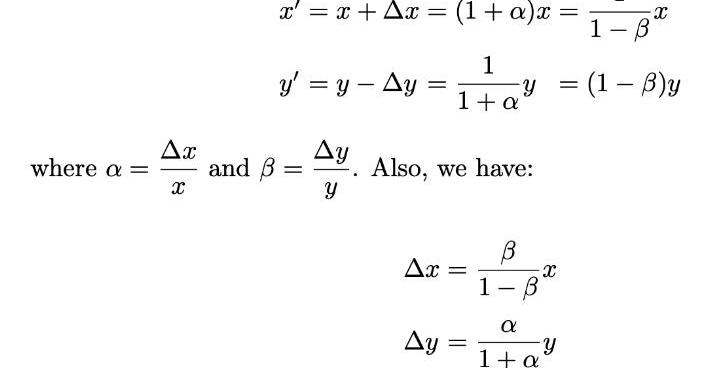
Uniswap作為當前交易額最大的去中心化交易所,其最大的特色是使用了恒定乘積做市商模型。該模型算法,最早來自ETH創始人Vitalik的論文:《Improvingfrontrunningresistanceofx*y=kmarketmakers》。
恒定乘積做市商模型公式非常的簡單:x*y=k。令交易的兩虛擬貨幣為X和Y,各自數量為x和y,兩貨幣數量的乘積x*y恒等于k,k值是由第一筆注入的流動性所決定。
因此,用?x數量的X幣來購買Y幣所能得到的數量?y、或是為了購買?y需要付出的?x數量,依照此公式進行計算:(x+?x)(y-?y)=k,而交易的價格就是兩幣量?x和?y的比。
以下公式用α=?x/x和β=?y/y來表示?x和?y及XY兩幣在交易發生后的新均衡數量:
Shen ZhouUnion特邀嘉賓Anthony:構建基于實體商業的數字經濟生態是化解當前市場窘境的最佳答案:據官方消息,2020年12月10日由神州交易所所舉辦的神州交易所“CNU公鏈上線發布會”杭州站正式啟動。
作為此次會議的主題“CNU公鏈上線發布會”,Shen ZhouUnion特邀嘉賓Anthony表示,區塊鏈4.0時代開創者,未來將會在Shenzhou Union底層交易所技術平臺上實現普及性區塊鏈去中心化商業落地應用,互聯網文明和實體商業有機結合是數字經濟的時代特色,充分發揮節點經濟和數字經濟雙重定位,讓實體商業與數字市場實現真正融合,構建基于實體商業的數字經濟生態,通過技術、資金、資源等多元扶持,打造區塊鏈項目新標桿,是化解當前市場窘境的最佳答案,也是Shenzhou Union的初衷所在。[2020/12/10 14:49:53]

融資/估值情況
2019年4月,Uniswap完成種子輪融資,融資金額約100萬美元,投資方為投資機構Paradigm,如果按照20%的稀釋額度測算,預期估值約500萬美元。
2020年8月7日,Uniswap創始人HaydenAdams在官網發文宣布正式獲得由a16z牽頭的1100萬美元A輪融資,其他投資者還包括USV、Paradigm、VersionOne、Variant、ParafiCapital、SVAngel和A.Capital。如果按照8%-15%的稀釋額度測算,預期估值約1.5億美元。
表二:Uniswap歷史融資情況

來源:標準共識、公開資料
代幣情況
Uniswap至今還未發行平臺代幣。
數據:過去一個月Uniswap交易員已花費近700萬美元的以太坊交易費:8月23日消息,ETH Gas Station數據顯示,過去一個月,去中心化交易所Uniswap的DeFi交易員已花費近700萬美元的以太坊交易費,平均每位用戶花費約17700 ETH(約125GWEI)。當前加密市場正值DeFi熱潮,且排名前十的DeFi代幣均建立在以太坊上,以太坊網絡因此出現緊張,過去幾個月的交易費也屢創新高。(CryptoSlate)[2020/8/23]
競爭對手分析
目前在去中心化交易所賽道,主要的項目約為13個,如果按照交易類型分類,則可以主要分為兩大類:兌換池和訂單簿。
兌換池類型的去中心化交易所主要是采用自動做市商制度,交易用戶直接按照當前價格進行幣種兌換,以Uniswap為代表。
而訂單簿類去中心化交易所采取的交易機制類似于OKEx等傳統中心化交易所,買賣雙方通過掛單撮合成交,以0x、IDEX等項目為代表。
表三:去中心化交易所項目基本情況統計
去中心化交易所
交易類型
近一周交易用戶
近一周交易額
交易額占比
Uniswap
兌換池
3,924
730,485,917
46.08%
Curve
兌換池
851
275,746,150
17.39%
dYdX
訂單簿
379
129,795,004
8.19%
0x
訂單簿
1,069
112,707,727
7.11%
Balancer
兌換池
63
112,175,550
7.08%
Kyber
兌換池
5,384
72,542,621
4.58%
Bancor
兌換池
1,106
49,131,359
3.10%
Synthetix
訂單簿
580
38,255,532
2.41%
Oasis
訂單簿
81
21,233,961
1.34%
IDEX
訂單簿
5,040
20,107,307
1.27%
Goosis
訂單簿
1,655
15,581,093
0.98%
Loopring
訂單簿
224
4,185,720
0.26%
DDEX
訂單簿
41
3,260,665
0.21%
來源:標準共識、DuneAnalytics
通過上述對比,Uniswap目前在成交金額方面暫時遙遙領先,占據了整個市場約50%的市場份額,其他去中心化交易所數據暫時無法與Uniswap相抗衡。
而在交易用戶數量方面,過去一周Uniswap的用戶數量為3,924個,少于Kyber的5,384、IDEX的5,040,在所有的去中心化交易所中排名第三,這說明Uniswap的人均交易金額要高于Kyber和IDEX。
社群治理
社交平臺熱度
從谷歌指數來看,Uniswap的搜索熱度自2020年3月開始,出現了顯著增長,排名前三的主要搜索地區為中國、圣赫勒拿群島、新加坡。
圖二:Uniswap的谷歌搜索趨勢

來源:谷歌趨勢
從其他社交平臺粉絲數量來看,項目粉絲數量較多,平臺上的粉絲互動也較為活躍。
表四:Uniswap的社區平臺粉絲數量
主要社交平臺
粉絲數量
鏈接
3.3萬
https://twitter.com/UniswapProtocol
Discord
6,392個
https://discord.com/invite/XErMcTq
2.9K
https://www.reddit.com/r/UniSwap/
來源:標準共識、公開信息
活躍用戶變化情況
自2018年10月上線以來,Uniswap的用戶數量呈現指數級增長,截止目前合計約14萬用戶,每月用戶數量的復合增長率約34%。
圖三:Uniswap的用戶總數量歷史表現

來源:DuneAnalytics
相關風險
經營風險
當前Uniswap的流動性池總金額為227,049,095美元,其中前五大交易對流動性池子金額為91,711,239美元,占整體金額的40.39%。其中最大的流動性交易對為ETH-AMPL,其流動性金額合計為33,346,110美金,占整體比為14.69%。
表五:Uniswap平臺上前五交易對流動性池金額
前五大交易對
流動池金額
整體占比
ETH-AMPL
33,346,110
14.69%
ETH-USDT
20,030,908
8.82%
USDC-ETH
19,114,186
8.42%
DAI-ETH
10,855,422
4.78%
USDC-USDT
8,364,613
3.68%
合計
91,711,239
40.39%
來源:標準共識、Uniswap
ETH-AMPL交易對過去7天的交易金額為96,115,657美金,占Uniswap過去7天交易額的13.16%。所以Uniswap上的交易量嚴重依賴少數頭部項目,如果頭部項目的交易額以及流動性做市出現下跌,會對整個平臺的交易總金額產生極大影響。
法律風險
當前Uniswap并不需要對用戶進行KYC/AML審核,也沒有對平臺上交易的項目代幣進行審核,所以會出現大量的詐騙項目,讓用戶產生巨大損失。根據DeFi門戶網站DefiPrime的統計,有大量項目方偽造知名項目的代幣在Uniswap上進行交易,比如在2020年7月有用戶用價值450美元左右的2枚WETH代幣換取了13,504枚假冒的Uniswap平臺幣,讓用戶承受巨大損失。所以此類大量詐騙項目的發生,會使得Uniswap團隊承受較大的潛在法律風險。
Tags:UNISWAPUniswap中心化交易所uniswap幣為什么漲不起來KnifeSwapuniswapwallet教程鏈上銀行去中心化交易所
文?|?黎哲翁?編輯|畢彤彤出品|PANews長期以來,作為加密世界雙雄的比特幣和以太坊在貨幣屬性上有所分別,前者通常被視作基礎性貨幣,「數字黃金」、「加密世界的錨」是其敘事的立足點.
1900/1/1 0:00:00這兩天主流幣來了一波普漲行情,在這波漲幅中,我始終高度關注的兩個幣都有了不錯的漲幅。一個是LINK,漲幅超過4%,價格為7.8美元,在短暫掉落前十后,再次強勢擠進前十,位居第九.
1900/1/1 0:00:00關鍵要點? ●?Coinbase?--全球最大的數字貨幣交易所之一,有可能放棄常規的IPO進行上市.
1900/1/1 0:00:00本文原發于:?十八鋪路,作者:廣庚我這個年紀,大多喜歡Beyond的歌,其中我唱最好的,莫過于《農民》: “忘掉遠方是否可有出路 忘掉夜里月黑風高 踏雪過山雙腳雖漸老 但靠兩手一切達到 ....
1900/1/1 0:00:00丘吉爾曾經凱恩挖苦斯說:如果有兩個經濟學家,那一定有三種看法,因為其中一個人是凱恩斯。”凱恩斯回答到:“事實改變了,我們的觀點也要變了.
1900/1/1 0:00:00撰文:JackPurdy和RyanWatkins,均就職于Messari翻譯:盧江飛21世紀其實是由「聚合器」主導的:如果你想要購買消費品.
1900/1/1 0:00:00