BTC/HKD-1.31%
ETH/HKD-2.25%
LTC/HKD-0.98%
ADA/HKD-1.11%
SOL/HKD-1.74%
XRP/HKD-1.83%穩定幣的最基本形式是作為一種交換媒介,使得傳統的價值存儲(例如,法定貨幣)可以在整個加密經濟中使用。我們已經見證了 DeFi 協議以各種方式設計穩定幣,嘗試創建可擴容、資本高效且治理最小化的貨幣,以模仿我們現實世界的價值資產存儲。為了讓這些穩定幣產生收益,用戶必須采取額外的措施,在 DeFi 中借出它們。這一操作使穩定幣成為一種資本資產,表現得更像是一個高息儲蓄賬戶,而不是一種交換媒介。
迄今為止,我們還沒有看到一種去中心化的穩定幣為其持有者提供原生收益。Sperax 旨在通過即將推出的穩定幣 Sperax USD ($USD) 來改變這種狀況。Sperax 是總部位于硅谷的一家區塊鏈公司,其使命是構建世界上任何人都可以訪問的 DeFi 基礎設施。Sperax 的穩定幣模型使用戶可以隨時存入或贖回 1 美元的協議價值,與 1 美元法幣進行交換。與 FRAX 類似,支撐 Sperax USD 的抵押品,分別包含外部加密資產形式的外源抵押品,以及 SPA 形式的內源抵押品——SPA 是 Sperax 的原生治理代幣,同時可以吸收波動性和累積價值。外源和內源抵押品之間的平衡將由協議的動態抵押品比率決定。
Speax USD 與其他去中心化穩定幣的不同之處在于,它是一種原生收益資產。Sperax 將其外源抵押品部署到收益耕種聚合器,并定期將利息收入空投給 Sperax USD 持幣者,賦予 Sperax USD 資本資產的屬性。這一屬性將激勵持幣者保持 Sperax USD 的流通,并使得 Sperax DAO 額外擁有了貨幣政策杠桿。

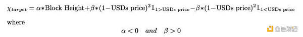
目標抵押品比率 (?) 將決定任意時間點支持 Sperax USD 價值的抵押品構成,將由以下等式控制,當 Sperax USD 的交易接近其 1 美元錨定價格時,且隨著時間推移,其作為資產逐步成熟,它將更青睞算法穩定模型:
鏈游Chainmonsters完成150萬美元融資,將于3月6日上線Epic Games:金色財經報道,RPG鏈游Chainmonsters完成150萬美元融資,具體融資信息暫未披露,3月6日將上線Epic Games。
據悉,Chainmonsters是由B-Side Games開發的基于區塊鏈的MMORPG游戲。該游戲最初在以太坊區塊鏈上運行,然后遷移到Flow區塊鏈。[2023/2/21 12:18:32]

來源 :?Sperax USD 白皮書
Sperax 已經確定了上述參數的最優值,使協議能夠響應快速的價格波動,另外目標抵押品比率以每月大約一個百分點的速度降低。 這些參數最終將由 Sperax DAO 予以管理。

Sperax 基金會計劃先以保守的 95% 抵押品比率推出 Sperax USD,在開始階段將 SPA 價格波動的影響降至最低。在采取這一預防措施的同時,Sperax USD 將由一籃子加密貨幣作為外源抵押資產,包括 USDC、USDT、UST、ETH 和 WBTC。與 Iron Finance 和 FRAX 等競爭對手在穩定幣剛發布時完全依賴 USDC 相比,外源抵押中納入 ETH 和 WBTC,可能會在剛發布時造成相對較大的波動。未來的抵押品類型將由 Sperax DAO 決定。資產的波動性及抵押不足的可能性將是敲定這些新抵押品類型的關鍵因素,但目標將是優選那些經歷高增長和具備低相關性的資產。
Messari:或因用戶遠離FTX波卡中繼鏈日活和新用戶四季度分別增長64%和49%:金色財經報道,區塊鏈分析公司Messari發布《波卡2022年四季度狀態報告》,數據顯示,或因用戶遠離FTX波卡中繼鏈日活和新用戶四季度分別增長64%和49%,但波卡市值環比下降 31%,同比下降了 83%。此外,XCM 自 5 月推出以來已在 70 個通道中傳輸了超過 166,000 次傳輸,下一個迭代版本 XCM V3 將引入無縫加密資產傳輸、增強的跨鏈互操作性、NFT 支持以及與外部網絡的橋接。截止目前,波卡平行鏈槽位已經贏得了 35 個槽位,總共綁定了 1.33 億個 DOT(占總供應量的 10.5%)。波卡下一個迭代 OpenGov 已經在 Kusama 上運行,并有望在不久的將來在 Polkadot 上運行。[2023/2/6 11:48:57]

當 Sperax USD 高于或低于 1 美元交易時所產生的套利機會,將作為 Sperax USD 的基礎穩定機制。雖然套利留給市場參與者執行,但 Sperax 可以使用三個杠桿來激勵市場以促進套利交易,維系 Speax USD 與美元的價格錨定。

如前文所述,Sperax USD 的外源和內源抵押品之間的權重是一個動態目標,會隨著市場波動而變化。在市場進入牛市時,由于抵押品價值膨脹,Sperax USD 的流通價格將攀升至高過其錨定價格。作為回應,抵押品比率將下降,Sperax USD 抵押品中 SPA 的價值占比將升高。套利者將能夠鑄造新的 Sperax USD,在去中心化交易所(DEX)以溢價售出,通過擴大 Sperax USD 的流通供應量,將其價格壓低至與美元錨定的水平。抵押品中 SPA 的價值占比升高,將導致鑄造 Sperax USD 時銷毀的 SPA 比例也升高。
Epic Games CEO:絕對不會像《我的世界》那樣禁止NFT:金色財經報道,知名游戲《堡壘之夜》開發公司Epic Game聯合創始人兼首席執行官蒂姆·斯威尼 (Tim Sweeney)在社交媒體上回應一位用戶要求該公司效仿《我的世界》開發公司Mojang Studios禁止使用NFT時表示:“開發者應該可以自由決定如何構建他們的游戲,而玩家可以自由決定是否玩它們,我認為游戲應用商店和操作系統制造商不應該通過將自己的觀點強加于他人來進行干預。我們絕對不會。”去年十月Steam宣布禁止NFT和區塊鏈技術時, Epic Games Store也表示不會效仿并且將繼續支持NFT游戲。[2022/7/22 2:30:30]
當市場進入熊市時,Sperax USD 的流通價格將因抵押品價值減少而跌至錨定價格之下。抵押品比率將上升,Sperax USD 的抵押品中一攬子外源加密抵押品的價值占比將升高。套利者可以在公開市場上以折扣價購買 Sperax USD 并予以銷毀,以產生利潤。在市場收縮期間,Sperax USD 對 SPA 的依賴減少,這意味著當 Sperax USD 被銷毀時, 進入市場的 SPA 比例較小。由于抵押品比率的目標是每月減少一個百分點,隨著協議逐漸成熟,Sperax USD 將逐漸更多地依賴 SPA 來保持穩定性。這也將給 SPA 代幣帶來通縮壓力,因為該協議為新鑄造 Sperax USD 而銷毀的 SPA 平均占比比例上升。

本著提高資本效率的精神,Sperax 將其外源抵押品投入到廣大的 DeFi 生態系統中。當用戶鑄造 Sperax USD 時,他們的外源抵押品被部署到 DeFi 收益耕種協議并賺取利息。Sperax 最初先使用 Aave 協議,但最終將創建自己的收益聚合器。為了產生收益,Sperax USD 鑄造后需要至少 7 天才能銷毀。在這一初始鎖定期過后,收益聚合器產生的利息收入由協議收集,并每周分配給 Sperax USD 持幣者。因此 Sperax USD 持幣者得到直接激勵,以保持該穩定幣的流通。
加密風投機構DeFi Times Capital完成500萬美元融資:12月21日消息,加密風投機構DeFi Times Capital宣布完成500萬美元融資,本輪融資資金將用于投資NFT、GamFi、DAO和SocialFi等領域和擴大團隊。
該基金專注于投資區塊鏈領域的項目,同時集項目孵化、技術開發、行業咨詢為一體,以推進開放性金融和Web3.0加速落地為使命。
DeFi Times Capital成立于2020年,創始人包括ZHENG(多年行業投資經驗)、CHEN(多年戰略投資經驗),現已投資過Multiverse、BitDAO、Izumi等項目。[2021/12/21 7:54:22]
雖然收益聚合器產生的利息收入金額將是可變的,且 Sperax 無法控制,但它仍然能夠影響傳遞給 Sperax USD 持幣者的利息收入。為了吸引 Sperax USD 的流動性并補償新協議的風險,Sperax 將通過其 SPA 儲備金發放補貼來提高整體利息支出。利息補貼還將作為一種機制,通過降低長期回報速度來穩定該協議的平均短期回報。其背后的想法是,波動率較小的收益率會創造出更具粘性的穩定幣,并降低貨幣供應速度。
為利息補貼預留的 SPA 將設置封頂。隨著 Sperax USD 趨于成熟,項目希望 SPA 的價值屆時將變得更加穩固,已不再需要 SPA 補貼來激勵 Sperax USD 的流動性。這意味著如果 SPA 要保持可持續性,最高長期儲蓄率不能超過收益聚合器實現的利息。為了仍然保持對 Sperax USD 持幣者利息收入的控制,Sperax 可以扣留收益聚合器產生的部分收入。這將產生另一種方式激勵用戶在價格低于其錨定值時銷毀 Sperax USD。由于傳遞給持幣人的利息收入將低于收益聚合器直接交互產生的利息,因此用戶可以銷毀 Sperax USD,直接從收益聚合器尋求收益。
Messari首席執行官:DeFi太瘋狂了 是發展最快的創新:1月17日晚間,Messari首席執行官Ryan Selkis發布推文稱:“DeFi太瘋狂了。這是我進入加密行業以來見過的發展最快的‘真正的’創新。2009-2015年是關于建設BTC的基礎設施和與‘現實世界’的連接。2015-2019年是關于ETH結算基礎設施的。2020以后大部分是DeFi。”[2021/1/18 16:23:56]

為了對抗貨幣牛市和熊市所產生的波動,Sperax 對鑄造或贖回 Sperax USD 收取動態費用。 對于一筆給定交易,任何操作的基本費用將從 0.1% 起步。鑄造費旨在防止 Sperax USD 的發行泛濫,且當 Sperax USD 的 3 天平均價格低于 1 美元錨定值時,這一費用將按二次方增加。贖回費的目的是防止銀行擠兌情況,避免造成支撐 Sperax USD 的外源抵押品數量被掏空。當 Sperax USD 贖回量與 Sperax USD 鑄幣量的 3 天平均比率超過特定閾值時,費用將呈指數增長。起始閾值將由 Sperax 基金會的模擬值確定,但未來將由 Sperax DAO 控制。具體增加的贖回費用也將為 SPA 質押者帶來更多收入。當市場參與者預期 SPA 貶值并將其在公開市場上拋售,從而導致 SPA 價值進一步貶值時,這一價格壁壘會有助于緩解出現的負面反饋循環。因此,贖回費用的增加不僅會讓贖回發生的成本更高及減緩 Sperax USD 供應量的收縮,還會導致在市場跳水時更多的價值回到 SPA 代幣。
與任何其他算法穩定幣一樣,這一模型并非完美,并且寄希望于價格沖擊相對短暫和無常。 不過,當價格沖擊確實發生時,流通供應量擴張和收縮被拖慢,會降低重現最近 Iron Finance 閃崩情景的可能性,因為該協議的其他穩定機制將獲得更多時間來啟動和重新平衡系統。
所有穩定幣面臨的最大問題之一是協議破產的可能性。當協議所持有資產的市場價值低于其流通的穩定幣供應價值時,就會發生這種情況。抵押支持的穩定幣模式采用超額抵押來抵御破產風險。一旦抵押品的價值下跌后太過于接近協議債務的價值,協議將清算抵押品以支付部分債務并保持償付能力。由于 Sperax USD 的設計機制是基于非足額抵押,因此 Sperax 不具備雄厚的抵押緩沖。相反,協議破產的可能性只能通過增強對 SPA 價值的信心來予以緩解。
為防止破產,當總抵押品比率(鎖定的總價值 / 流通中的 Sperax USD)低于目標抵押品比率時,Sperax USD 將啟用單獨的鑄造和銷毀比率。當這種情況發生時,Sperax 將向套利者釋放更多的 SPA,并保留更大比例的外源抵押品。Sperax USD 的銷毀將隨之減少其流通供應量,且將余下抵押品比率推回到目標抵押品比率。
Sperax 解決協議破產的方法是建立在犧牲現有 SPA 持幣者利益之上,屆時由于 SPA 過度通脹,這些持幣者的資產將被稀釋。盡管為利息補貼預留的 SPA 金額將被封頂,但用于緩解協議破產的 SPA 儲備金不設上限,以確保協議的功能正常。當協議被迫從系統中清除壞賬時,這會類似于 Maker 的 MKR 通脹。為了讓 SPA 的價值繼續支撐協議,交易費用收入和長期 SPA 通貨緊縮兩者結合,其影響力必須超過因緩解破產可能性而引起的通貨膨脹。這在早期會讓 Speax USD 更加舉步維艱。因此在啟動時,初始抵押品比率 (95%) 意味著其價值支撐幾乎完全依賴于外源資產,僅有少量 SPA 供應會被銷毀。鑒于抵押品比率旨在隨著時間推移而逐步降低,因此銷毀的 SPA 量應會隨著 Speax 美元供應量的擴張而緩慢增加。
Sperax USD 模型的另一個缺陷涉及如何調整抵押品比率。與 FRAX 的 V1 版本類似,Sperax USD 抵押品比率與 SPA 市場流動性并無關聯。當用戶贖回 Sperax USD 并立即將他們新鑄造的 SPA 投放市場時,這會導致 SPA 價格的負面反饋循環。如果 SPA 流動性不足,增加的供應將降低 SPA 的價值,且這一過程將不斷循環往復。Sperax 所使用的動態交易費用機制將有助于在短期內緩解這個問題,但為了讓協議可持續發展,它可能需要遵循 FRAX 采用的增長比率來確定抵押品比率調整。這意味著,隨著 SPA 流動性相對于 Sperax USD 供應量的增長,抵押品比率將下降。假設贖回者立即出售新鑄造的 SPA,只有當市場可以消化新增加的 SPA 供應而不會出現滑點時,才會增強 SPA 的可依賴度。
推測中另一個擔憂是,Sperax USD 在投放市場時可能會面臨身份危機。它融合了資本資產和價值存儲資產的特性,可能會導致它根據市場變化而扮演不同的角色。當利率很高時,Sperax USD 可能更像是一個儲蓄賬戶。當利率縮水時,Sperax USD 應該更接近于一種交換媒介。這種不斷變化的行為特征與穩定幣的可預測性自相矛盾,但也許這就是這一貨幣實驗的重點。
Sperax USD 即將到來的發布將成為 Sperax 項目迄今為止最大的里程碑。 到目前為止,Sperax USD 還沒有「產品測試」。 相反,該基金會是依靠數以千計的模擬和測試模型來確定其穩定杠桿和算法支持的適當參數。Sperax USD 最初的穩定機制是由之前幫助構建 Luna 的?Terra?穩定幣模型的一組研究人員開發的。其中一名團隊成員 Marco Di Maggio 是哈佛商學院教授,也是整個加密領域中最受尊敬的算法穩定幣研究人員之一。
隨著 Sperax USD 的部署,Sperax 基金會將會把開發工作逐漸轉移到推出一系列合成衍生品。該協議開發的衍生品將使用戶能參與主動投資策略,而不是僅靠持有 Sperax USD 產生被動回報。Sperax 的愿景是成為世界上任何人建立保值金融產品的去中心化樞紐,而這些產品將是向著這一使命推進的下一個步驟。

來源 :?Sperax.io
Sperax 最初將在以太坊網絡上推出 Sperax USD 及其衍生品。在接下來的幾年里,Sperax 基金會將把 Sperax USD 及其相關應用轉移到 Sperax 智能合約平臺,后者目前正在開發中。這個底層鏈將利用以 Speax USD 為基礎的貨幣系統及其各種穩定性杠桿。鑒于 Sperax USD 兼具資本資產和交換媒介兩種屬性,如果成功的話,未來基于 Sperax USD 的金融生態系統的功能,可能會與我們之前看到的任何系統都大不相同。
受 Messari Hub 成員項目 Sperax 委托,以下報告由 Messari Hub 分析師撰寫。 所有內容均由作者獨立制作,并不一定反映 Messari, Inc. 或要求提供報告組織的意見。 Messari Hub 的付費會員資格不會影響編輯的決定或內容的選擇。作者可能持有本報告中提到的加密貨幣。加密項目可以通過 Messari Hub 委托社區分析師進行獨立研究。
撰文:Chase Devens,Messari Hub 分析師編譯:Perry Wang
Tags:SPEPERAERASperaxSPE價格sperax幣最新消息Pantera Fundsperax幣一枚多少錢
太長不看:UMA 構建了一個叫作多空倉位對(Long Short Pair,LSP)的新型合約模版。這個合約雖然簡單,但是功能強大,可以用來構建一系列新的產品.
1900/1/1 0:00:00黑洞協議?BlackHole Protocol 是一個基于 Ethereum 網絡的無許可的跨鏈燃燒平臺.
1900/1/1 0:00:00參與近期即將上線的測試或許可獲得項目空投獎勵。專注長尾市場資產的去中心借貸協議 Euler 宣布將于近期開啟 bug 測試賞金計劃,并在 2021 年第三季度正式上線 v1,參與協議試用的用戶可.
1900/1/1 0:00:00研報要點 核心投資邏輯 Terra在實踐的是當下加密世界最為期待的敘事——加密應用和傳統商業世界的破壁.
1900/1/1 0:00:00北京時間2021年07月21日03:40,我們的攻擊檢測系統檢測到某個交易異常。通過對該交易進行擴展分析,我們發現這是一起利用通縮代幣(deflation token)KEANU的機制對Sans.
1900/1/1 0:00:00目前為止,DeFi 期權最大的缺陷之一是發行期權的資本密集程度過高 —— 用戶至少需要質押最大損失的 100% 作為保證金.
1900/1/1 0:00:00